Open Access

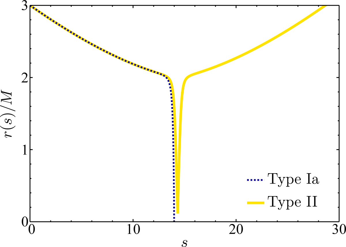
Fig. 5.

image

Download original image

Radius r(s) plotted as a function of the path parameter s, with an impact parameter of b/M = 0.05 for an object of mass M = 10. For the geometry of Type Ia, the ray terminates at the singularity, while for the Type II geometry the light ray is reflected instead. This feature where the trajectory is extended, going back out to infinity again, is the underlying reason for why the brightness in the interior is enhanced for Type II and Type Ic solutions, as can be seen in Fig. 4.

Current usage metrics show cumulative count of Article Views (full-text article views including HTML views, PDF and ePub downloads, according to the available data) and Abstracts Views on Vision4Press platform.

Data correspond to usage on the plateform after 2015. The current usage metrics is available 48-96 hours after online publication and is updated daily on week days.

Initial download of the metrics may take a while.