Open Access

Fig. 18

image

Download original image

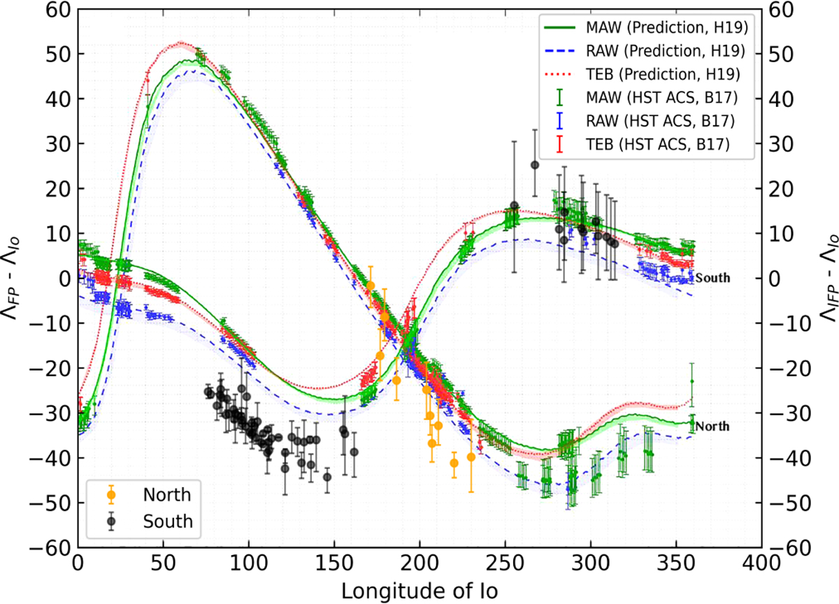
Longitude difference between Io (ΛIo), Io’s auroral footprints (ΛIFP), and Io-DAM source footprints (ΛFP). The longitude difference between Io and the Io-DAM source footprints (orange and black dots) is shown on the left y-axis for comparison with the longitude difference between Io and Io’s auroral footprints cited from Hinton et al. (2019), or H19, shown on the right y-axis. In H19, the locations of Io auroral spots were predicted for the main Alfvén wing (MAW), the reflected Alfvén wing (RAW), and the trans-hemispheric electron beam (TEB) for all longitude of Io with Hubble Space Telescope (HST) ACS observations (Bonfond et al. 2017, or B17).

Current usage metrics show cumulative count of Article Views (full-text article views including HTML views, PDF and ePub downloads, according to the available data) and Abstracts Views on Vision4Press platform.

Data correspond to usage on the plateform after 2015. The current usage metrics is available 48-96 hours after online publication and is updated daily on week days.

Initial download of the metrics may take a while.