Open Access

Fig. 13.

image

Download original image

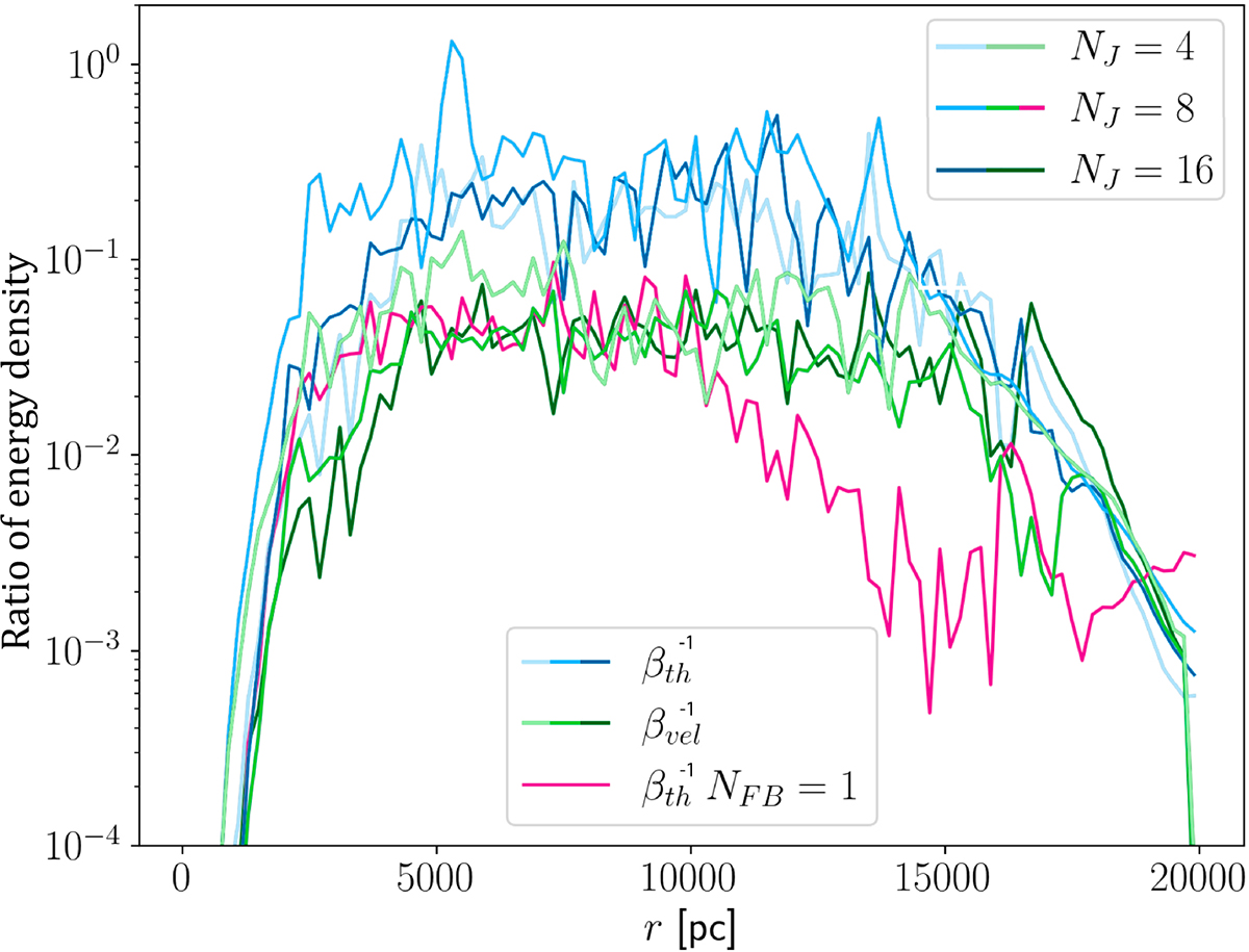
Radial profile of the energy density ratio (β−1) for the saturated medium resolution runs in Fig. 12. We have included lines for both the magnetic-thermal energy density ratio () and the magnetic-turbulent energy density ratio (). The purple line shows the ratio of the magnetic-thermal energy density for the saturated radial profile with NFB = 1 shown in the previous section. We can see that most of the cases saturate to around 10 − 30% of the thermal energy density. With NFB = 1 the saturation is lower in the outer regions.

Current usage metrics show cumulative count of Article Views (full-text article views including HTML views, PDF and ePub downloads, according to the available data) and Abstracts Views on Vision4Press platform.

Data correspond to usage on the plateform after 2015. The current usage metrics is available 48-96 hours after online publication and is updated daily on week days.

Initial download of the metrics may take a while.