Open Access

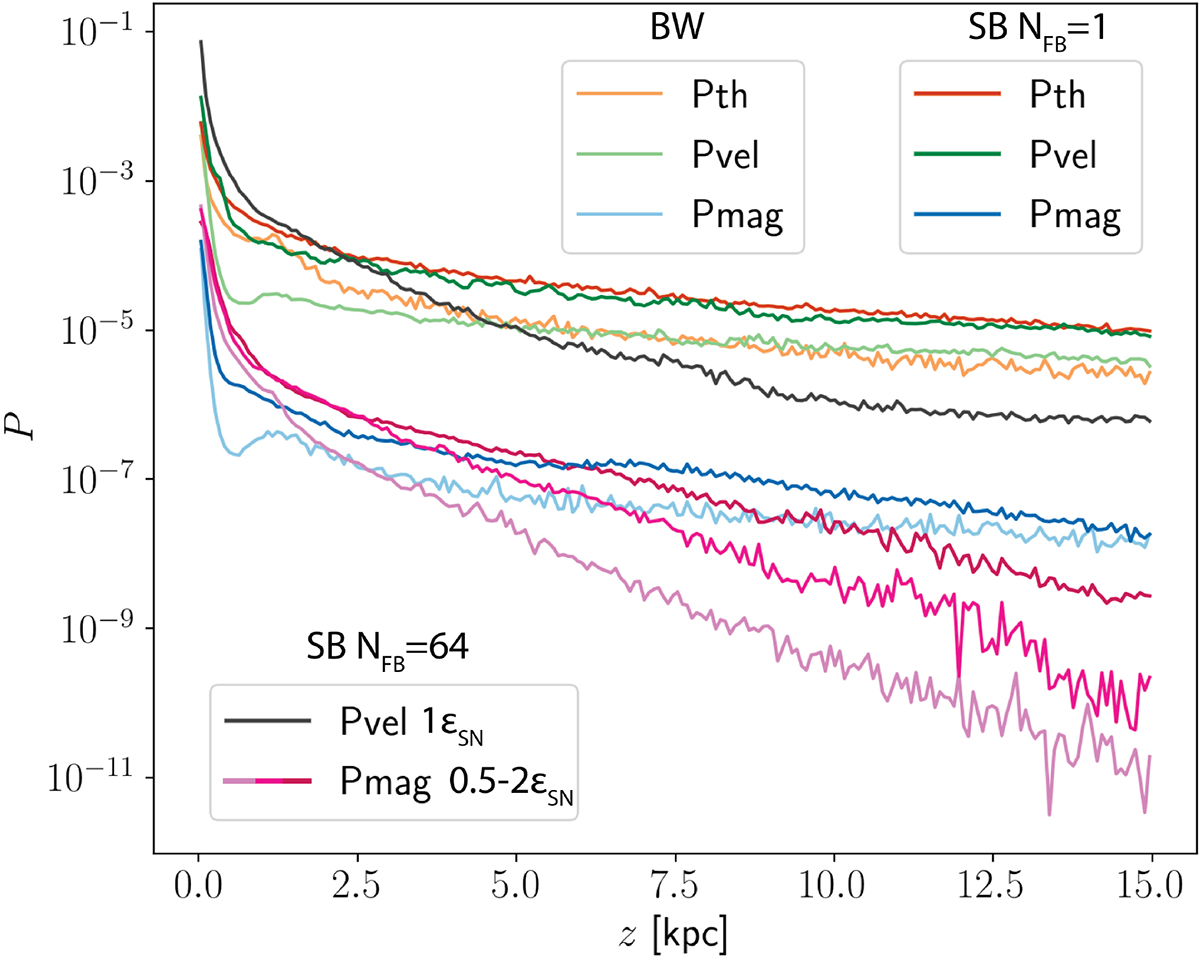
Fig. 19.

image

Download original image

Vertical structure of the kinetic, magnetic and thermal energy density for our medium resolution runs with varying feedback scheme around 2 Gyr. The magnetic energy density can be seen to follow the kinetic energy quite closely within the CGM. With stronger magnetic fields being present further out in the strong feedback simulations.

Current usage metrics show cumulative count of Article Views (full-text article views including HTML views, PDF and ePub downloads, according to the available data) and Abstracts Views on Vision4Press platform.

Data correspond to usage on the plateform after 2015. The current usage metrics is available 48-96 hours after online publication and is updated daily on week days.

Initial download of the metrics may take a while.