Open Access

Fig. 11.

image

Download original image

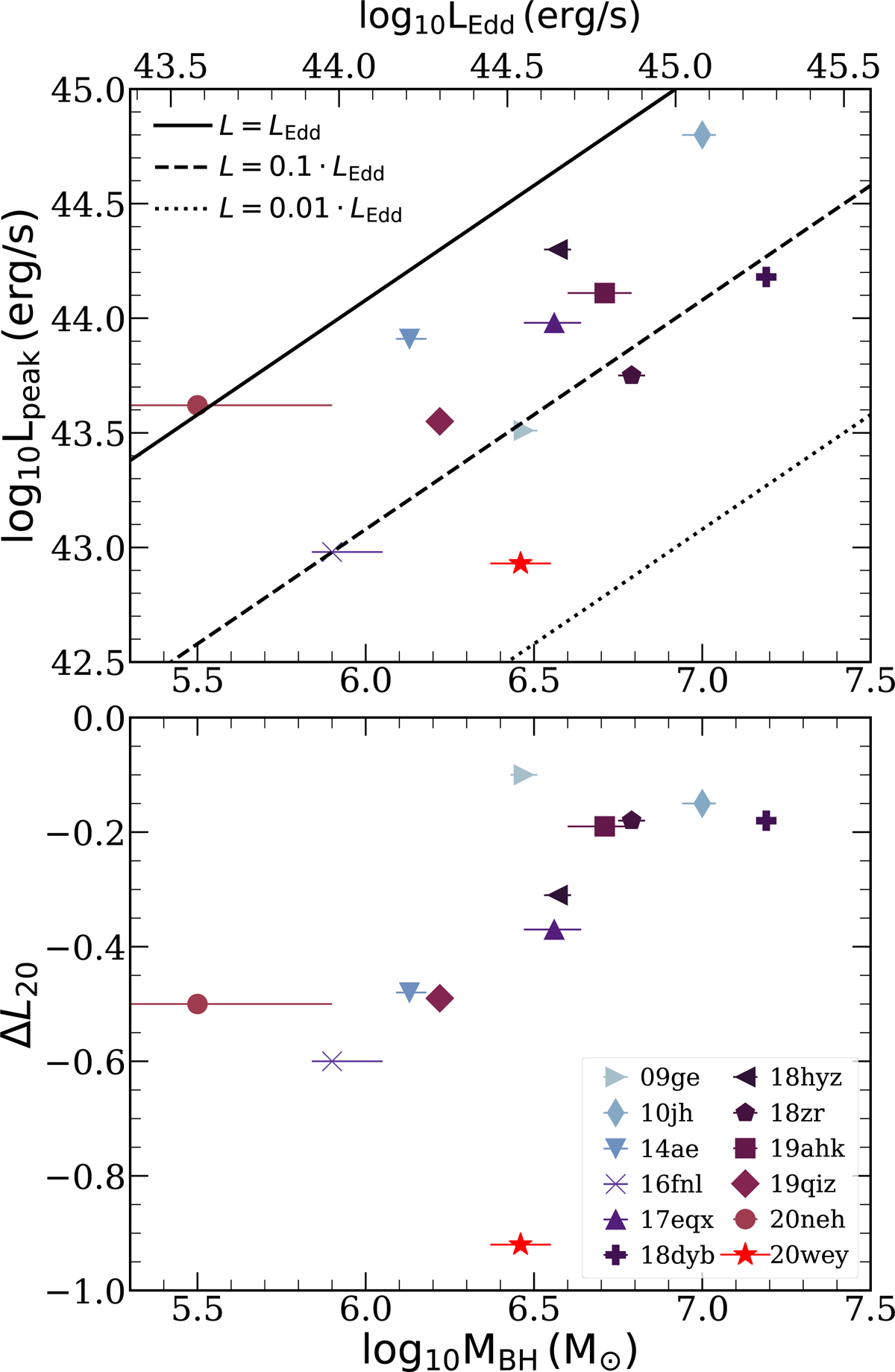
Peak bolometric luminosity (top panel) and its decline rate within the first 20 days (ΔL20 = log10(L20/Lpeak); bottom panel) as a function of the BH mass, for a sample of optical TDEs. The BH masses are computed with MOSFIT (Mockler et al. 2019; Nicholl et al. 2022). There is no correlation between the peak bolometric luminosity and the decline rate. However, there is a strong correlation between the decline rate and the BH mass of TDEs, where AT 2020wey is an outlier.

Current usage metrics show cumulative count of Article Views (full-text article views including HTML views, PDF and ePub downloads, according to the available data) and Abstracts Views on Vision4Press platform.

Data correspond to usage on the plateform after 2015. The current usage metrics is available 48-96 hours after online publication and is updated daily on week days.

Initial download of the metrics may take a while.