Open Access

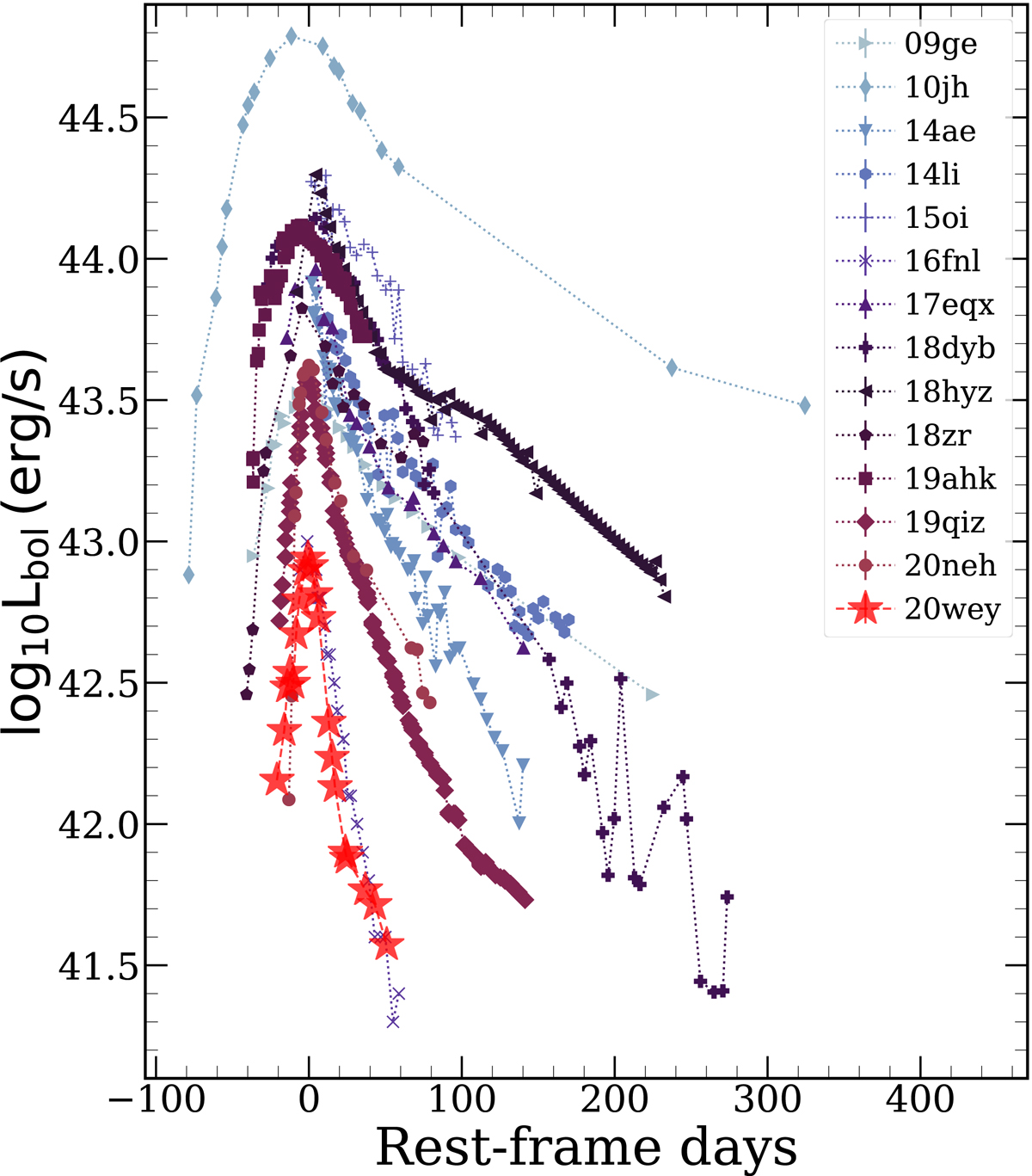
Fig. 6.

image

Download original image

Comparison of the bolometric light curve of AT 2020wey with the TDEs presented in Fig. 10 of Nicholl et al. (2020) and with AT 2020neh (Angus et al. 2022). The resemblance of AT 2020wey with iPTF16fnl is striking. AT 2020neh rises faster, but is brighter and decays more slowly.

Current usage metrics show cumulative count of Article Views (full-text article views including HTML views, PDF and ePub downloads, according to the available data) and Abstracts Views on Vision4Press platform.

Data correspond to usage on the plateform after 2015. The current usage metrics is available 48-96 hours after online publication and is updated daily on week days.

Initial download of the metrics may take a while.