Open Access

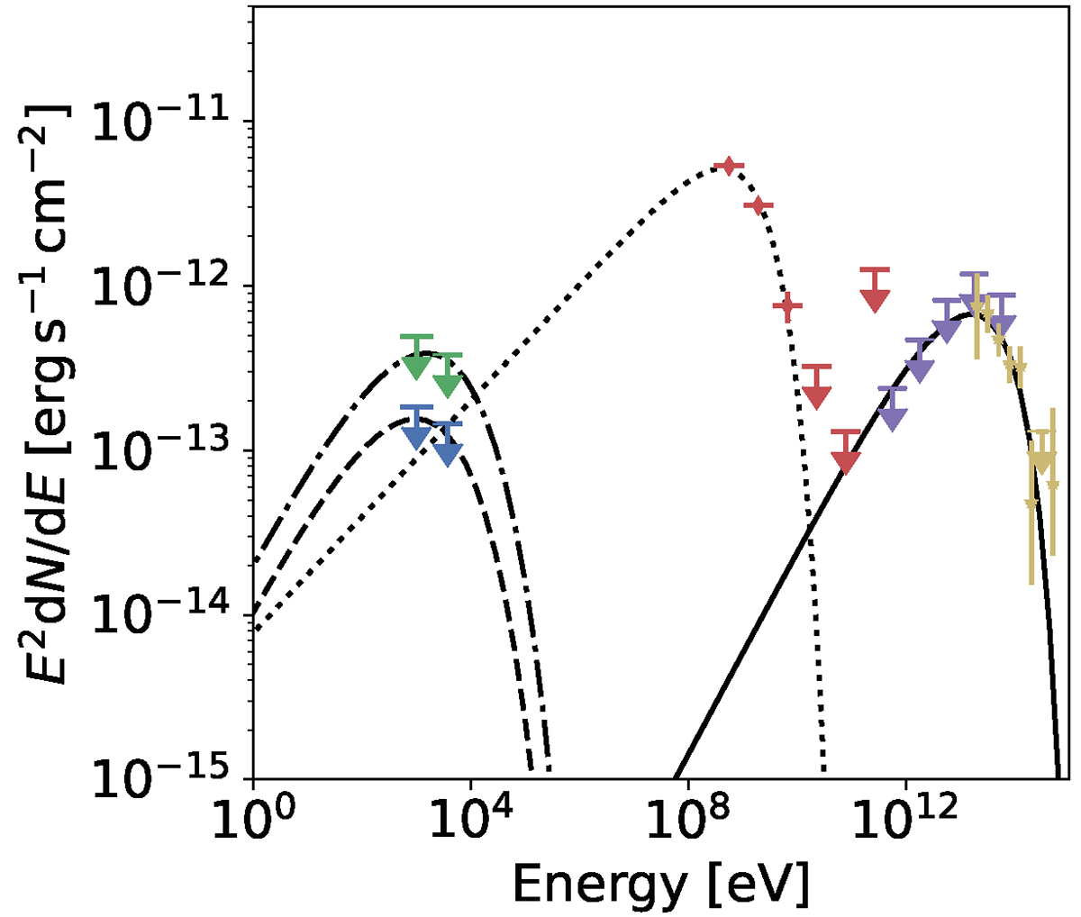
Fig. 7.

image

Download original image

Multiwavelength SED of LHAASO J2108+5157 showing a leptonic scenario of emission. Observations with different instruments are represented by data points of different colors: XMM-Newtonr = 6′ (blue), r = 16′ (green), Fermi-LAT (red), LST-1 (purple), and LHAASO-KM2A (yellow). The black solid line represents the best-fitting IC-dominated emission of LST-1 and LHAASO data. The corresponding synchrotron radiation of the same population of electrons is represented with dashed and dash-dotted lines for B = 1.2 μG and B = 1.9 μG, respectively. The dotted line represents a phenomenological model of a tentative pulsar: the best-fit PL with a subexponential cutoff on the Fermi-LAT data.

Current usage metrics show cumulative count of Article Views (full-text article views including HTML views, PDF and ePub downloads, according to the available data) and Abstracts Views on Vision4Press platform.

Data correspond to usage on the plateform after 2015. The current usage metrics is available 48-96 hours after online publication and is updated daily on week days.

Initial download of the metrics may take a while.