Open Access

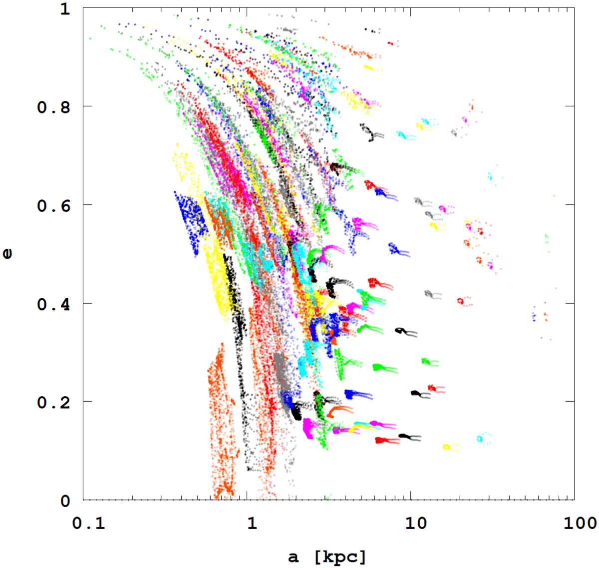
Fig. 6.

image

Download original image

Evolution of the GC orbital semi-major and eccentricity during the whole backward integration time in the case of 411321 TNG-TVP. The inner GCs (a ≤ 3 kpc) have more regular and larger eccentricity changes during the evolution. The outer GCs (a > 3 kpc) have much smaller eccentricity changes during the whole backward integration time.

Current usage metrics show cumulative count of Article Views (full-text article views including HTML views, PDF and ePub downloads, according to the available data) and Abstracts Views on Vision4Press platform.

Data correspond to usage on the plateform after 2015. The current usage metrics is available 48-96 hours after online publication and is updated daily on week days.

Initial download of the metrics may take a while.