Open Access

Fig. 1

image

Download original image

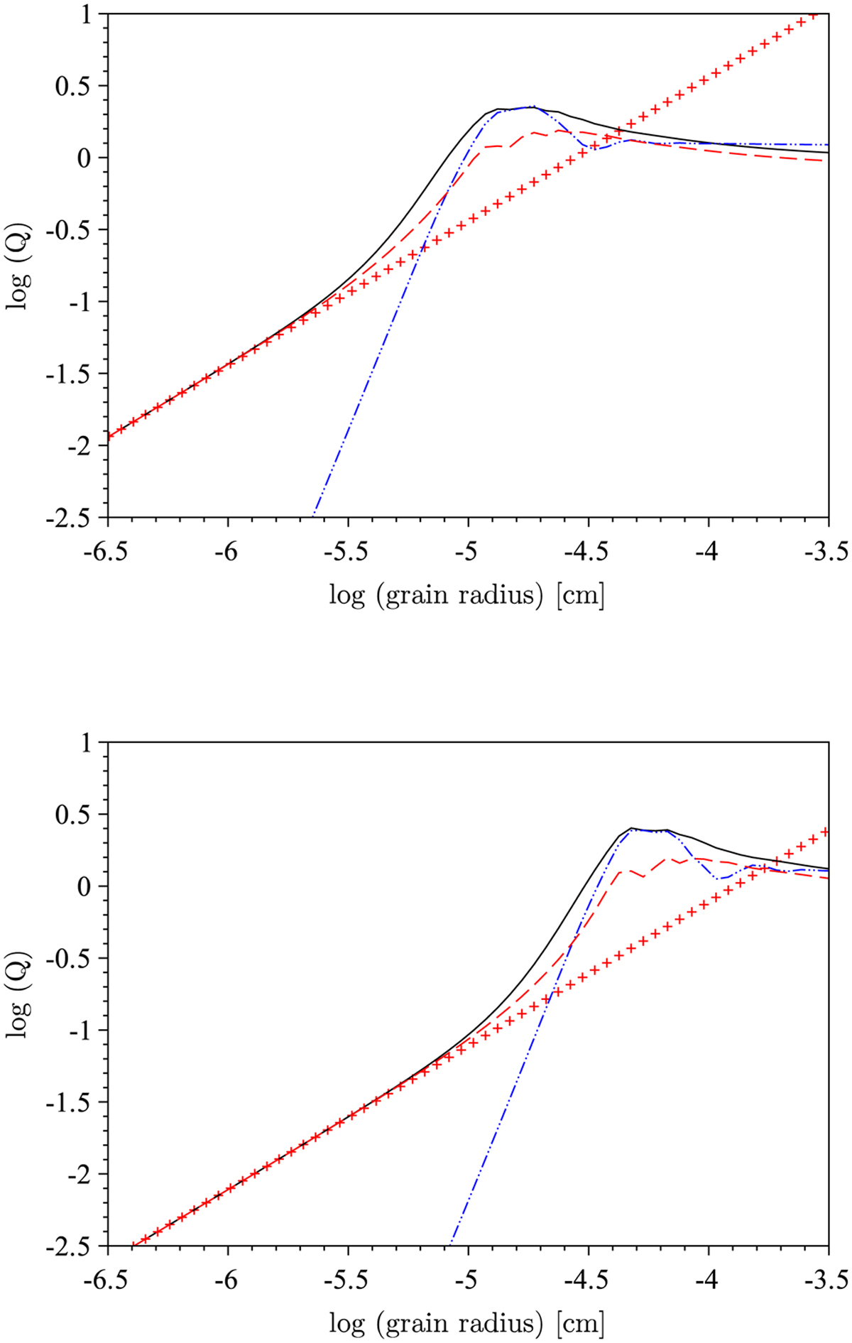
Efficiency factors as a function of grain size for an amC particle computed with full Mie theory (lines dashed red: absorption; dash-dotted blue: scattering; black: radiative pressure) and in the SPL approximation (absorption, plus signs). Top panel: values at a wavelength of 0.54 μm (V band). Bottom panel: values at a wavelength of 2.1 μm (K band; see text for details). While scattering is negligible in the SPL, it contributes significantly to the radiation pressure for particles with sizes that are comparable to the wavelength.

Current usage metrics show cumulative count of Article Views (full-text article views including HTML views, PDF and ePub downloads, according to the available data) and Abstracts Views on Vision4Press platform.

Data correspond to usage on the plateform after 2015. The current usage metrics is available 48-96 hours after online publication and is updated daily on week days.

Initial download of the metrics may take a while.