Open Access

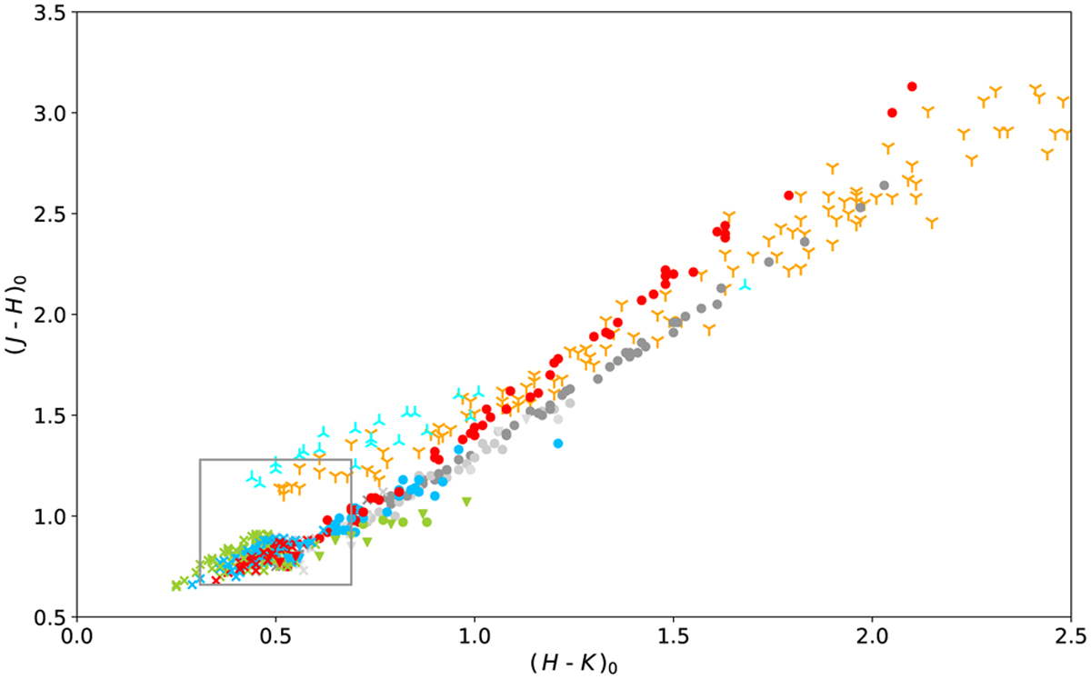
Fig. 14

image

Download original image

Mean (J–H) colour versus mean (H–K) colour for models in the entire grid. Models using SPL are plotted in grey tones, and those with SDDO are coloured according to carbon excess (see Fig. 6). Observed carbon stars from Whitelock et al. (2006) are also plotted: orange symbols for Miras and cyan for non-Mira stars. The grey box centered at (0.5, 1.0) outlines the area in Fig. 15.

Current usage metrics show cumulative count of Article Views (full-text article views including HTML views, PDF and ePub downloads, according to the available data) and Abstracts Views on Vision4Press platform.

Data correspond to usage on the plateform after 2015. The current usage metrics is available 48-96 hours after online publication and is updated daily on week days.

Initial download of the metrics may take a while.