Open Access

Fig. 20

image

Download original image

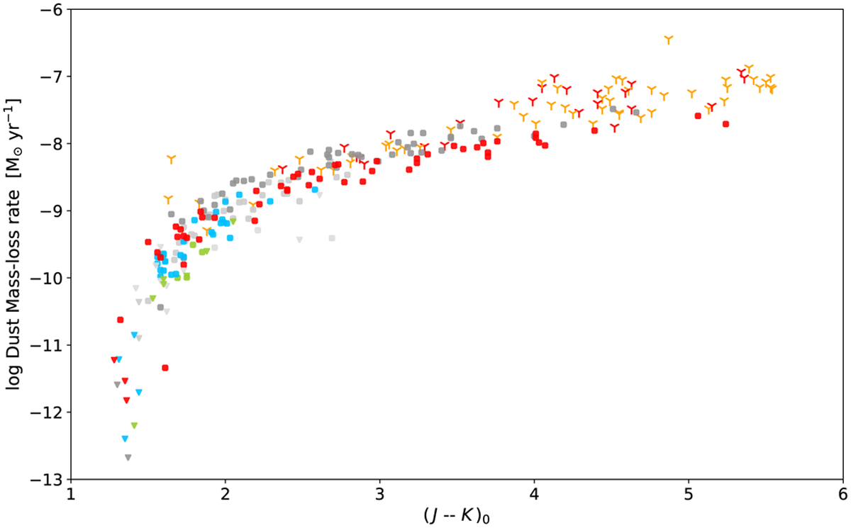
Mean dust-mass-loss rate versus mean (J–K)0 colour for the wind models in the grid. The observed dust-mass-loss rates (plotted as orange symbols) were derived from total mass-loss rates in Whitelock et al. (2006) using a gas-to-dust ratio of 220.

Current usage metrics show cumulative count of Article Views (full-text article views including HTML views, PDF and ePub downloads, according to the available data) and Abstracts Views on Vision4Press platform.

Data correspond to usage on the plateform after 2015. The current usage metrics is available 48-96 hours after online publication and is updated daily on week days.

Initial download of the metrics may take a while.