Open Access

Fig. 1

image

Download original image

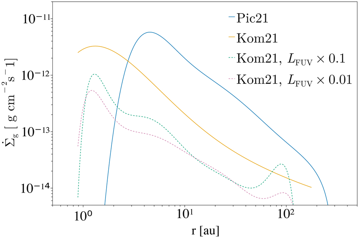
Photoevaporation rates for a 1 M-star using identical X-ray luminosity for both the Pic21 (blue) and Kom21 (yellow) prescriptions. The two dashed lines show the Kom21 models where the FUV luminosity has been reduced by a factor of 10 and of 100.

Current usage metrics show cumulative count of Article Views (full-text article views including HTML views, PDF and ePub downloads, according to the available data) and Abstracts Views on Vision4Press platform.

Data correspond to usage on the plateform after 2015. The current usage metrics is available 48-96 hours after online publication and is updated daily on week days.

Initial download of the metrics may take a while.