Open Access

Fig. 8

image

Download original image

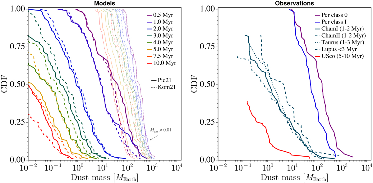
Cumulative distributions of disc dust masses from the population synthesis model using α = 10−3 (left) and observed discs (right). The observed sample is taken from Tychoniec et al. (2020, Perseus) and Manara et al. (2022). The distributions of the observed sample are scaled according to the disc fractions from Michel et al. (2021), taking age of each region as the mid-point of the given age range.

Current usage metrics show cumulative count of Article Views (full-text article views including HTML views, PDF and ePub downloads, according to the available data) and Abstracts Views on Vision4Press platform.

Data correspond to usage on the plateform after 2015. The current usage metrics is available 48-96 hours after online publication and is updated daily on week days.

Initial download of the metrics may take a while.