Open Access

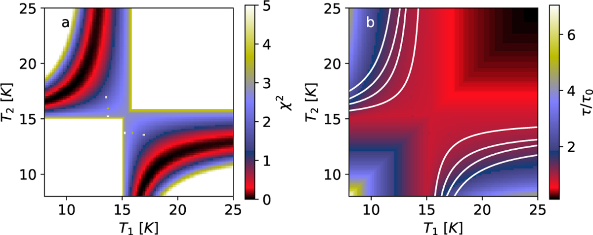
Fig. 13

image

Download original image

Values of χ2 (frame a) and τ/τ0 (frame b) as functions of the assumed temperatures T1 and T2 of the fitted SED templates. The observations correspond to one noise realisation selected from the simulations in Fig. 12. Frame b includes contours at χ2 = 0.1 and χ2 = 1.

Current usage metrics show cumulative count of Article Views (full-text article views including HTML views, PDF and ePub downloads, according to the available data) and Abstracts Views on Vision4Press platform.

Data correspond to usage on the plateform after 2015. The current usage metrics is available 48-96 hours after online publication and is updated daily on week days.

Initial download of the metrics may take a while.