Open Access

Fig. 1

image

Download original image

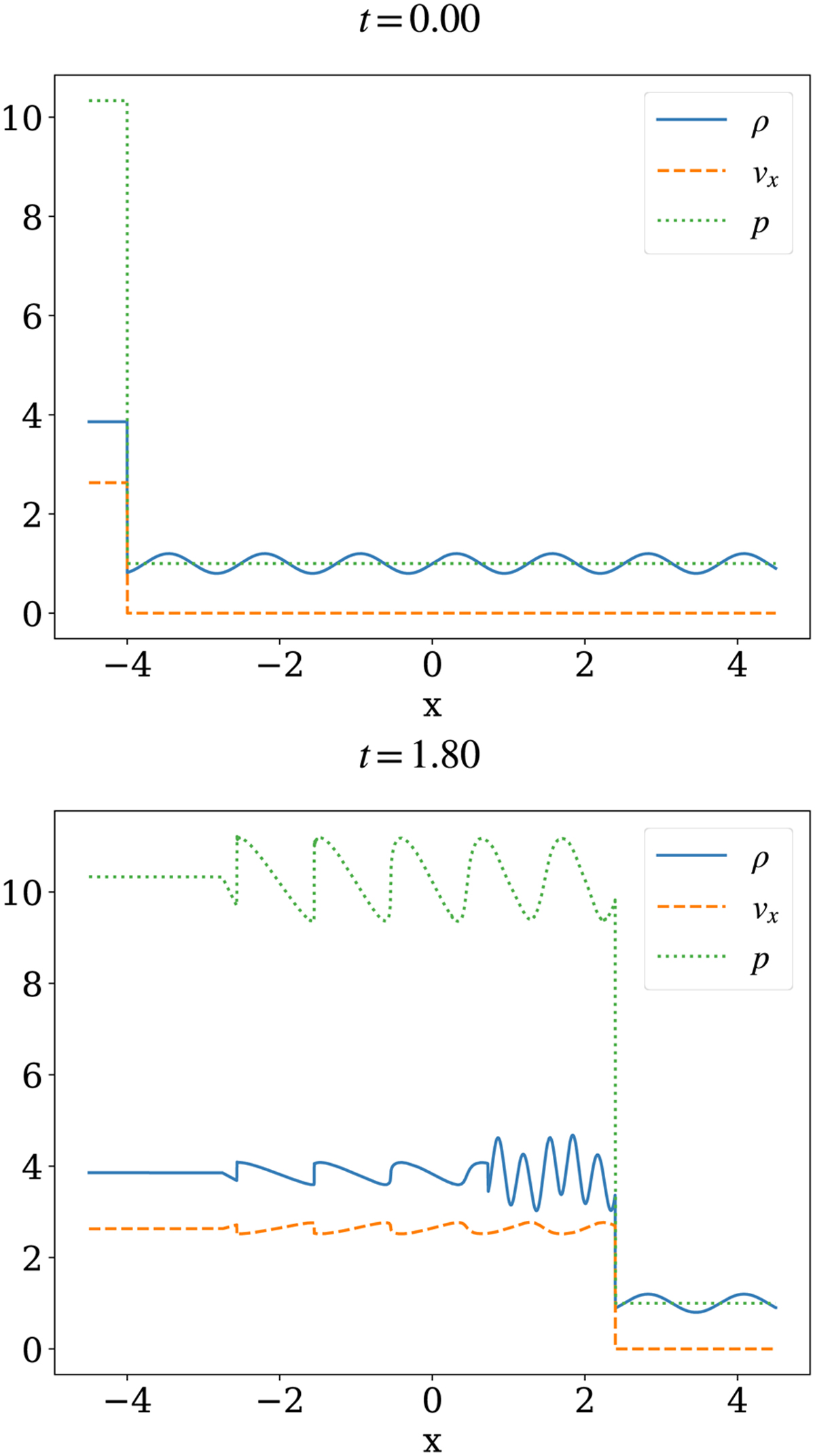
ID Shu-Osher test. Shown are the density (solid blue line), velocity (dashed orange line), and pressure (dotted green line) for the initial time (top panel) and the final time (bottom panel). This high resolution numerical solution was obtained using the wenozp5 limiter. An animation is provided online.

Current usage metrics show cumulative count of Article Views (full-text article views including HTML views, PDF and ePub downloads, according to the available data) and Abstracts Views on Vision4Press platform.

Data correspond to usage on the plateform after 2015. The current usage metrics is available 48-96 hours after online publication and is updated daily on week days.

Initial download of the metrics may take a while.