Open Access

This article has an erratum: [https://doi.org/10.1051/0004-6361/202245399e]


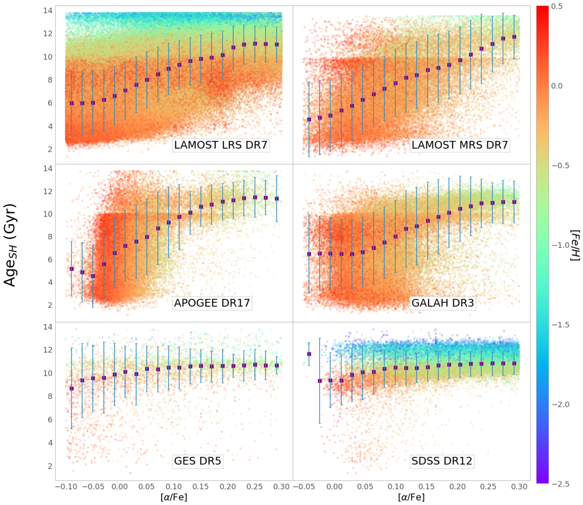
Fig. 11.

image

Download original image

[α/Fe] versus age distribution for the MSTO+SGB samples of each survey. A cleaning per signal to noise and suggested flags was performed. The purple squares show the median trend per bin in [α/Fe], while the error bars show its one σ deviation. We only display the surveys that have mean statistical uncertainty in age < 20% according to Table 2 (no RAVE or Gaia RVS). We also performed a cleaning of flags in the [α/Fe] determination from each survey.

Current usage metrics show cumulative count of Article Views (full-text article views including HTML views, PDF and ePub downloads, according to the available data) and Abstracts Views on Vision4Press platform.

Data correspond to usage on the plateform after 2015. The current usage metrics is available 48-96 hours after online publication and is updated daily on week days.

Initial download of the metrics may take a while.