Open Access

Fig. 5.

image

Download original image

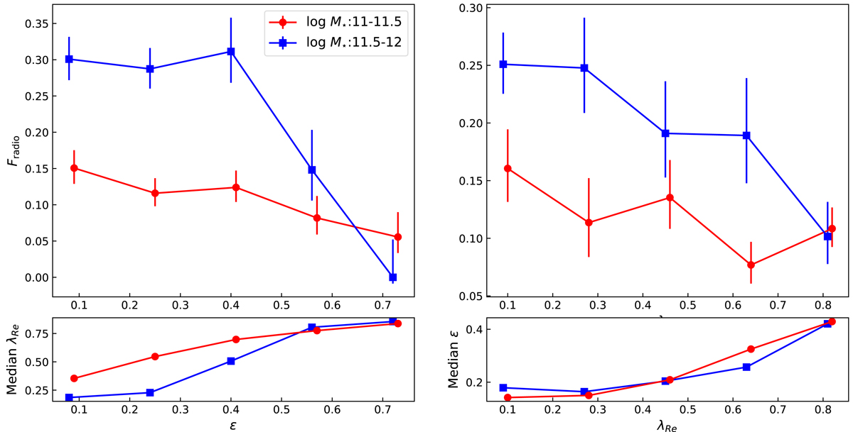
Fradio for galaxies with different morphologies and kinematics. Top: Fradio as a function of ϵ and λRe for galaxies with different M. The red dots and blue squares represent galaxies with log(M /M) = 11 − 11.5 and 11.5 − 12, respectively. Bottom: Median λRe for galaxies in each ϵ bin and the median ϵ in each λRe bin. The red lines were shifted horizontally a bit for clarity.

Current usage metrics show cumulative count of Article Views (full-text article views including HTML views, PDF and ePub downloads, according to the available data) and Abstracts Views on Vision4Press platform.

Data correspond to usage on the plateform after 2015. The current usage metrics is available 48-96 hours after online publication and is updated daily on week days.

Initial download of the metrics may take a while.