Open Access

Fig. 15

image

Download original image

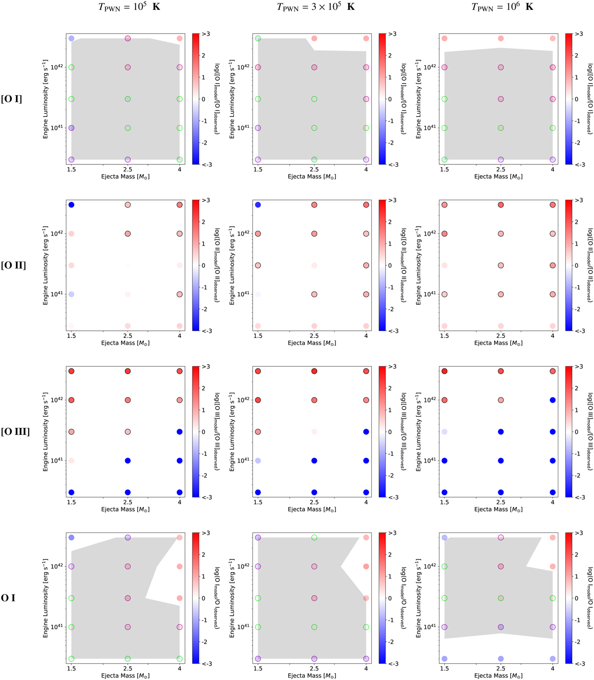
Luminosity of the model [O I] (top), [O II] (second row), [O III] (third row), and O I (bottom) lines in units of the observed line luminosities and limits of SN 2012au at one year for the realistic composition at three different values of TPWN. The green circled points represent where the model and observed values are within a factor of two, the purple circles within a factor of five, and the gray shaded region also within a factor of five. The black circled points (for O I) represent where the model luminosity is more than a factor of two higher than the observational limit. The grid includes luminosity from all elements in the wavelength regions in which these lines are emitted.

Current usage metrics show cumulative count of Article Views (full-text article views including HTML views, PDF and ePub downloads, according to the available data) and Abstracts Views on Vision4Press platform.

Data correspond to usage on the plateform after 2015. The current usage metrics is available 48-96 hours after online publication and is updated daily on week days.

Initial download of the metrics may take a while.