Open Access

Fig. 6

image

Download original image

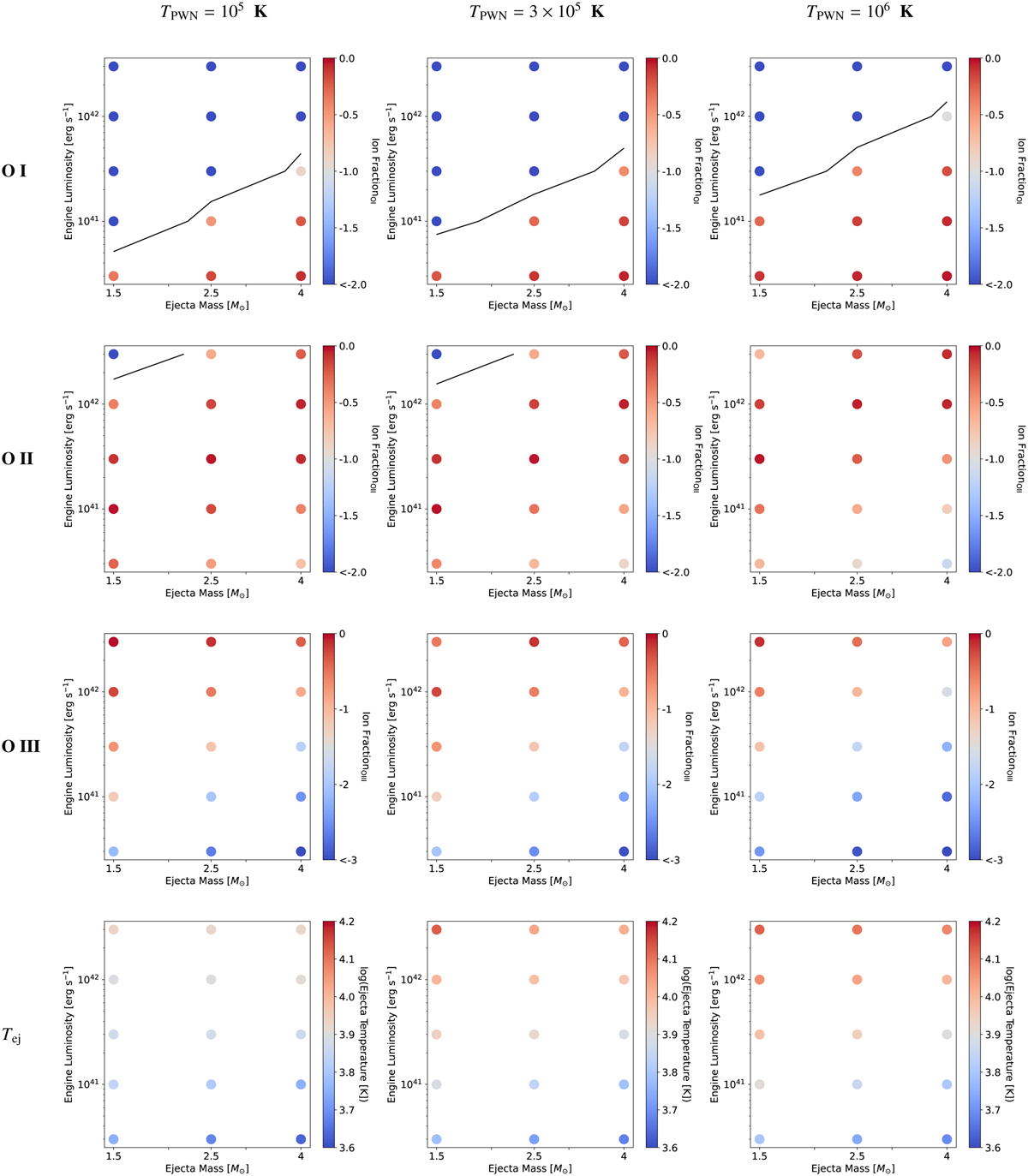
Ion fractions of O I (top), O II (second row), and O III (third row), and the ejecta temperature Tej (bottom) in the simulations at one year for a pure oxygen composition at three different values of TPWN. The black contour denotes the regime with low ejecta mass and high engine luminosity in which runaway ionization can occur for both O I and O II.

Current usage metrics show cumulative count of Article Views (full-text article views including HTML views, PDF and ePub downloads, according to the available data) and Abstracts Views on Vision4Press platform.

Data correspond to usage on the plateform after 2015. The current usage metrics is available 48-96 hours after online publication and is updated daily on week days.

Initial download of the metrics may take a while.