Open Access

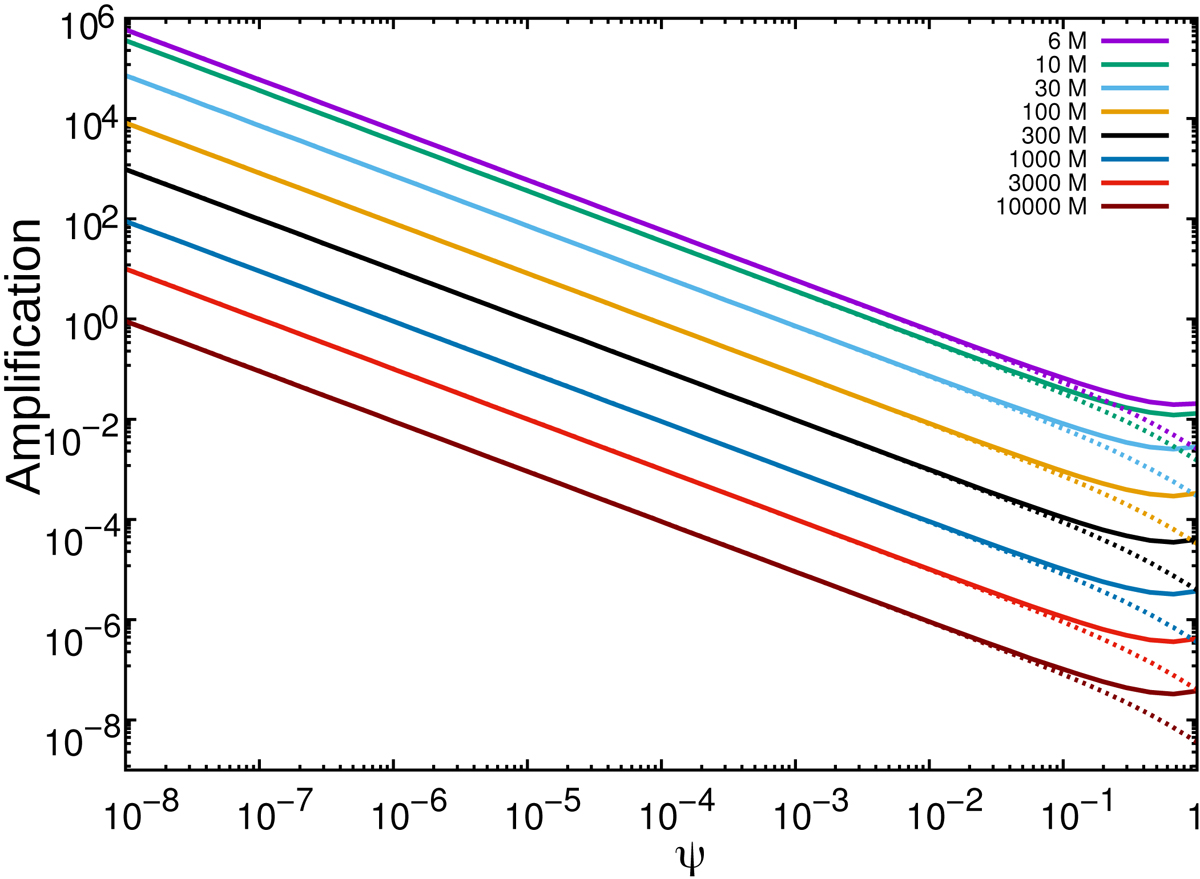
Fig. 12.

image

Download original image

Secondary amplification peak of a static source. The bolometric amplification of the first indirect and the second direct images of a static point source located in the front of the compact lens at different distances, R, are shown as a function of the angular separation from the caustic line, ψ. The solid lines correspond to the first indirect images, and the dashed line corresponds to the second direct images.

Current usage metrics show cumulative count of Article Views (full-text article views including HTML views, PDF and ePub downloads, according to the available data) and Abstracts Views on Vision4Press platform.

Data correspond to usage on the plateform after 2015. The current usage metrics is available 48-96 hours after online publication and is updated daily on week days.

Initial download of the metrics may take a while.