Open Access

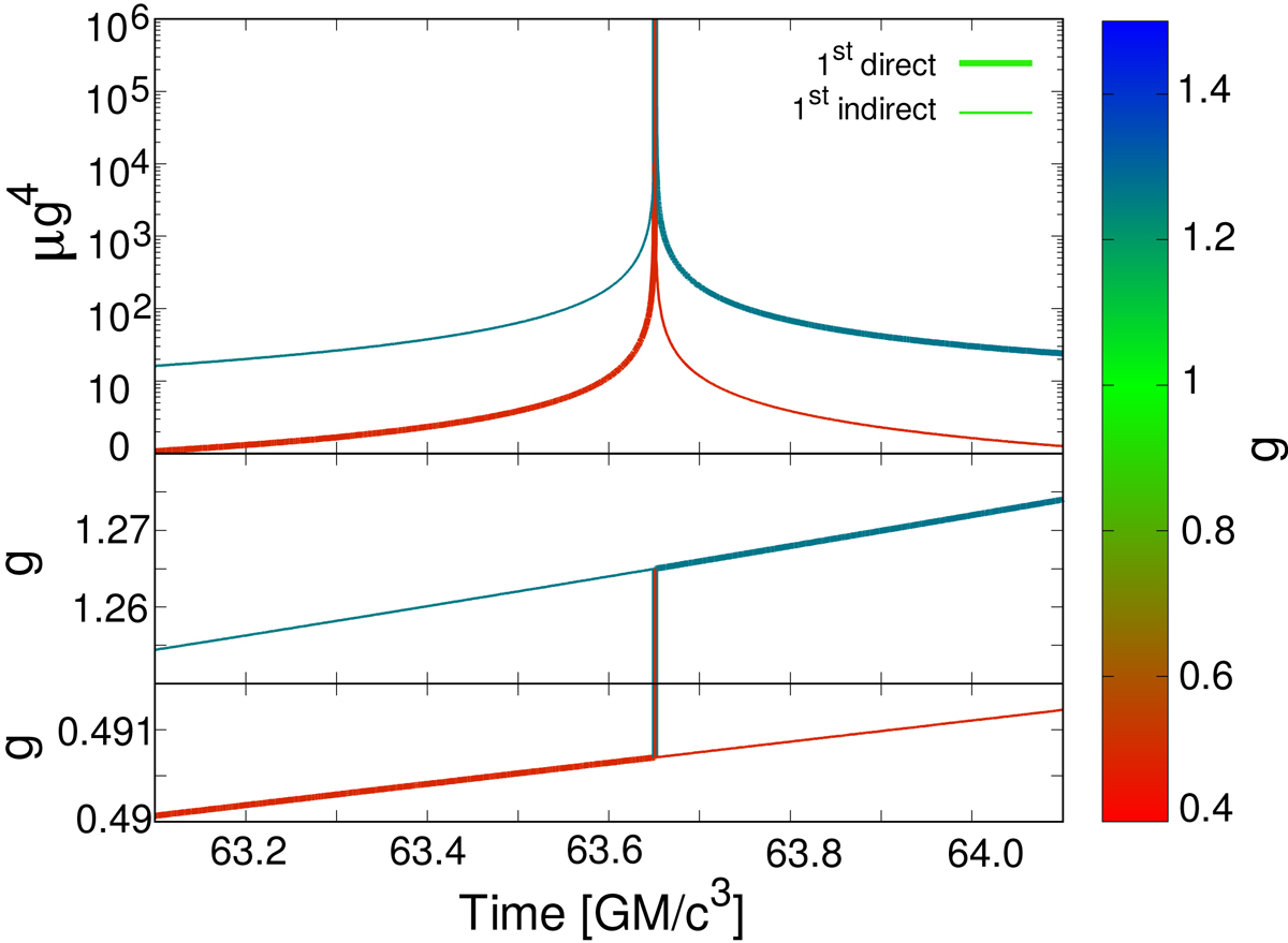
Fig. 17.

image

Download original image

Detail of the light curves of a point source in Keplerian circular orbit at R = 6M around the primary amplification peak. The thick and thin continuous lines represent, respectively, the first direct and first indirect images. Top: light curves of images forming the peak. Bottom: frequency shift factor profiles.

Current usage metrics show cumulative count of Article Views (full-text article views including HTML views, PDF and ePub downloads, according to the available data) and Abstracts Views on Vision4Press platform.

Data correspond to usage on the plateform after 2015. The current usage metrics is available 48-96 hours after online publication and is updated daily on week days.

Initial download of the metrics may take a while.