Open Access

Fig. 2.

image

Download original image

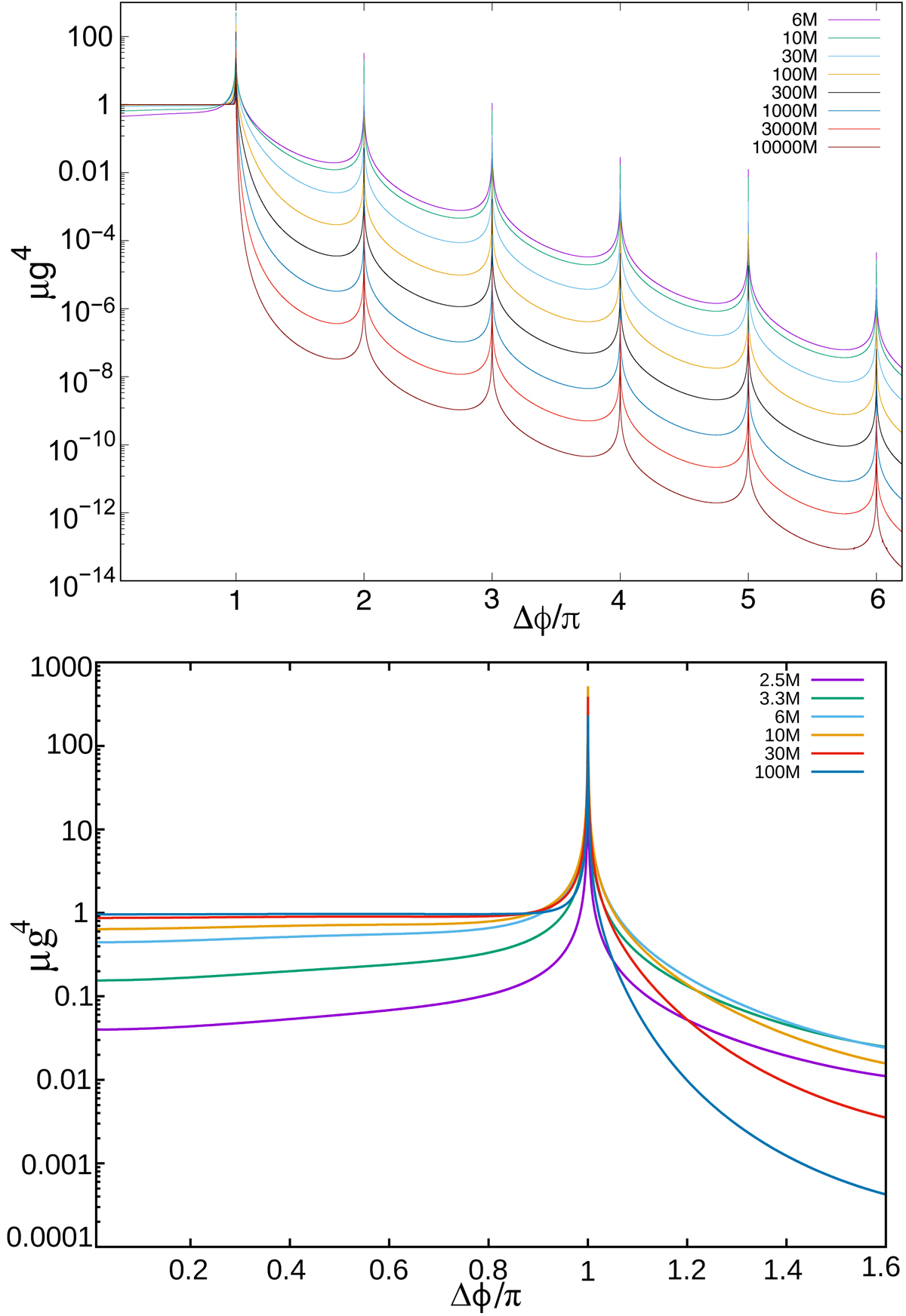
Bolometric amplification of a static source for selected distances from the lens seen by an observer at infinity as a function of Δϕ. Top: wide range of Δϕ covering the first 12 images and first six Einstein rings. Peaks at Δϕ = 1,  3,  5,  … (2,  4,  6,  …) arise when the a source located exactly on the caustic line behind (in front of) the lens. Bottom: bolometric amplification of sources at short distances for a smaller range of Δϕ angles, encompassing the first amplification peak.

Current usage metrics show cumulative count of Article Views (full-text article views including HTML views, PDF and ePub downloads, according to the available data) and Abstracts Views on Vision4Press platform.

Data correspond to usage on the plateform after 2015. The current usage metrics is available 48-96 hours after online publication and is updated daily on week days.

Initial download of the metrics may take a while.