Open Access

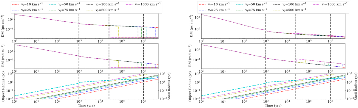
Fig. 4.

image

Download original image

DM and RM evolution of an NMB in a SNR. Left panel: three panels showing (from top to bottom) the DM, the RM, and the radius of the supernova shell as a function of time for a compact object moving towards the observer from the core of the shell with a certain radial velocity. The different colours denote the different radial velocities assumed for the compact object. The dashed vertical lines denote the times at which the ejecta velocity changes (corresponding to the evolutionary stage of the SNR). The dashed cyan line in the bottom panel shows the shell radius with time, and the other lines correspond to the object radius (distance of the compact object from the centre of the SNR). Right panel: same as the left panel but for the compact object moving away from the observer.

Current usage metrics show cumulative count of Article Views (full-text article views including HTML views, PDF and ePub downloads, according to the available data) and Abstracts Views on Vision4Press platform.

Data correspond to usage on the plateform after 2015. The current usage metrics is available 48-96 hours after online publication and is updated daily on week days.

Initial download of the metrics may take a while.