Open Access

Fig. 6.

image

Download original image

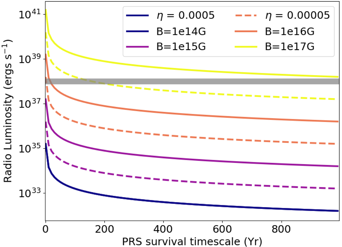
Radio luminosity of the PRS as a function of the lifetime of the PRS, assuming no time evolution of the radio luminosity, for the case where a magnetar giant flare powers a PRS from the interaction with the stellar wind of the companion. Solid and dashed lines correspond to different efficiencies of conversion to radio emission (0.05 and 0.005%, respectively), and different sets of lines correspond to different surface magnetic fields of the neutron star, as shown in the legend. The horizontal grey region indicates the observed PRS luminosity of FRB 20121102A taken from Chen et al. (2022).

Current usage metrics show cumulative count of Article Views (full-text article views including HTML views, PDF and ePub downloads, according to the available data) and Abstracts Views on Vision4Press platform.

Data correspond to usage on the plateform after 2015. The current usage metrics is available 48-96 hours after online publication and is updated daily on week days.

Initial download of the metrics may take a while.