Open Access

Fig. 15

image

Download original image

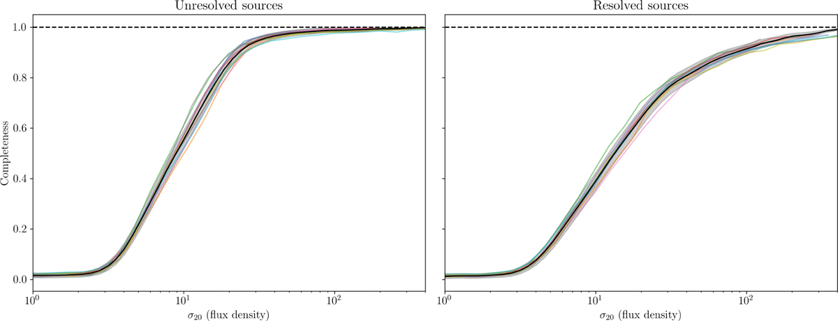
Completeness as a function of flux density for unresolved (left) and resolved (right) sources for the different fields, re-factored with σ20 and combined (black curves). Re-factoring the completeness curves to σ20 shows clearly that they are simply shifted with respect to each other, and we can define a unified completeness measure for the survey as a function of σ20 for both resolved and unresolved sources.

Current usage metrics show cumulative count of Article Views (full-text article views including HTML views, PDF and ePub downloads, according to the available data) and Abstracts Views on Vision4Press platform.

Data correspond to usage on the plateform after 2015. The current usage metrics is available 48-96 hours after online publication and is updated daily on week days.

Initial download of the metrics may take a while.