Open Access

Fig. 1

image

Download original image

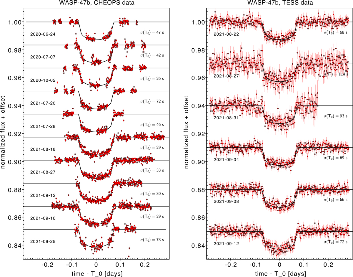
Space-based light curves of WASP-47b from CHEOPS and TESS analyzed for the present work after de-trending. For each light curve, the corresponding label shows the acquisition date in UT and the timing error (in seconds). Arbitrary vertical offsets of 0.0165 and 0.03 were added, respectively, to both sets for visualization purposes.

Current usage metrics show cumulative count of Article Views (full-text article views including HTML views, PDF and ePub downloads, according to the available data) and Abstracts Views on Vision4Press platform.

Data correspond to usage on the plateform after 2015. The current usage metrics is available 48-96 hours after online publication and is updated daily on week days.

Initial download of the metrics may take a while.