Open Access

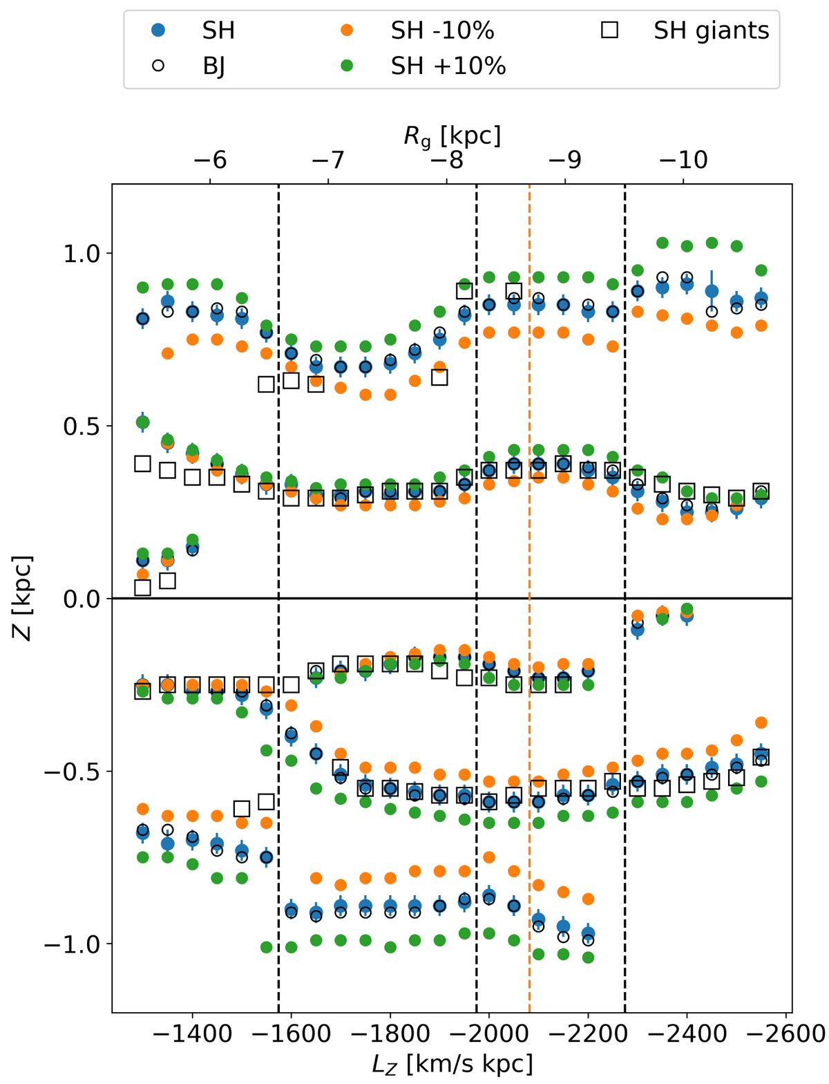
Fig. B.2.

image

Download original image

Crossing positions of the phase spiral for different distances. The blue circles and error bars mark the Z coordinate for VZ = 0 (Zc) of the phase spiral determined from the edge detector for the SH sample. The other symbols indicate the crossings for the BJ distances, for distance biases of 10%, and for a selection of giant stars.

Current usage metrics show cumulative count of Article Views (full-text article views including HTML views, PDF and ePub downloads, according to the available data) and Abstracts Views on Vision4Press platform.

Data correspond to usage on the plateform after 2015. The current usage metrics is available 48-96 hours after online publication and is updated daily on week days.

Initial download of the metrics may take a while.