Open Access

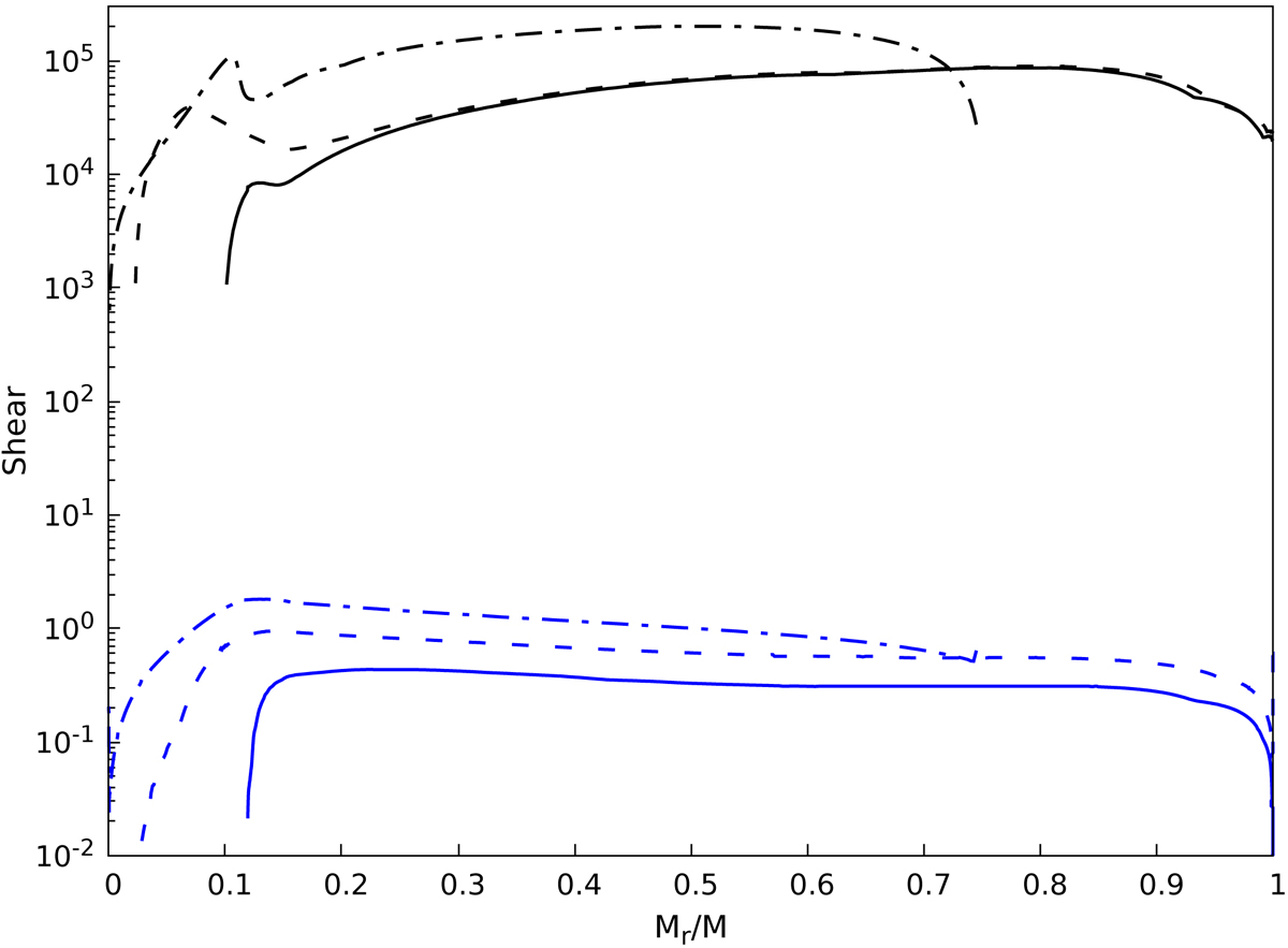
Fig. A.1.

image

Download original image

Local shear as a function of the mass coordinate for a 1.7 M during the main sequence when the central hydrogen mass fraction is X = 0.35 (solid lines), at the end of the main sequence (dashed lines), and at the RGB base (dot-dashed lines). The black lines correspond to the minimum shear required to trigger the standard MRI, while the blue line is the actual shear of the model. The regions where the line is missing correspond to either the convective core or the convective envelope.

Current usage metrics show cumulative count of Article Views (full-text article views including HTML views, PDF and ePub downloads, according to the available data) and Abstracts Views on Vision4Press platform.

Data correspond to usage on the plateform after 2015. The current usage metrics is available 48-96 hours after online publication and is updated daily on week days.

Initial download of the metrics may take a while.