Open Access

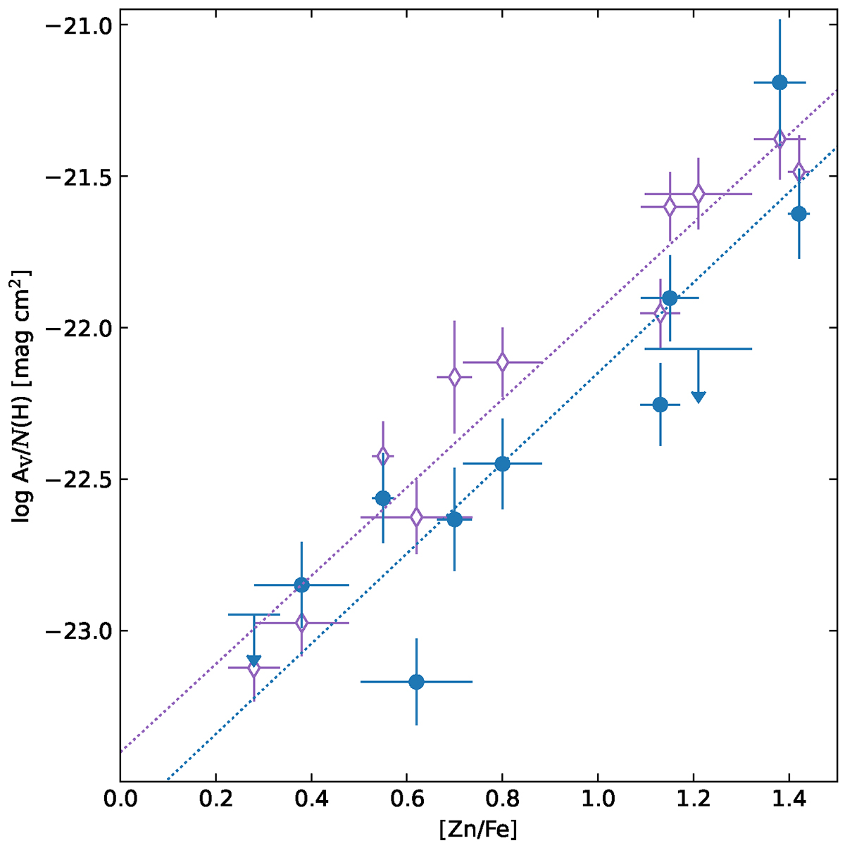
Fig. 4.

image

Download original image

Dust-to-gas ratio measured from the continuum spectrum (filled circles) and derived from the metal column densities (open diamonds, following De Cia et al. 2016) as a function of depletion factor. The blue (purple) dotted line corresponds to a linear fit to ([Zn/Fe], log AV/N(H)) data points, where Av is based on continuum fitting (metal column density).

Current usage metrics show cumulative count of Article Views (full-text article views including HTML views, PDF and ePub downloads, according to the available data) and Abstracts Views on Vision4Press platform.

Data correspond to usage on the plateform after 2015. The current usage metrics is available 48-96 hours after online publication and is updated daily on week days.

Initial download of the metrics may take a while.