Open Access

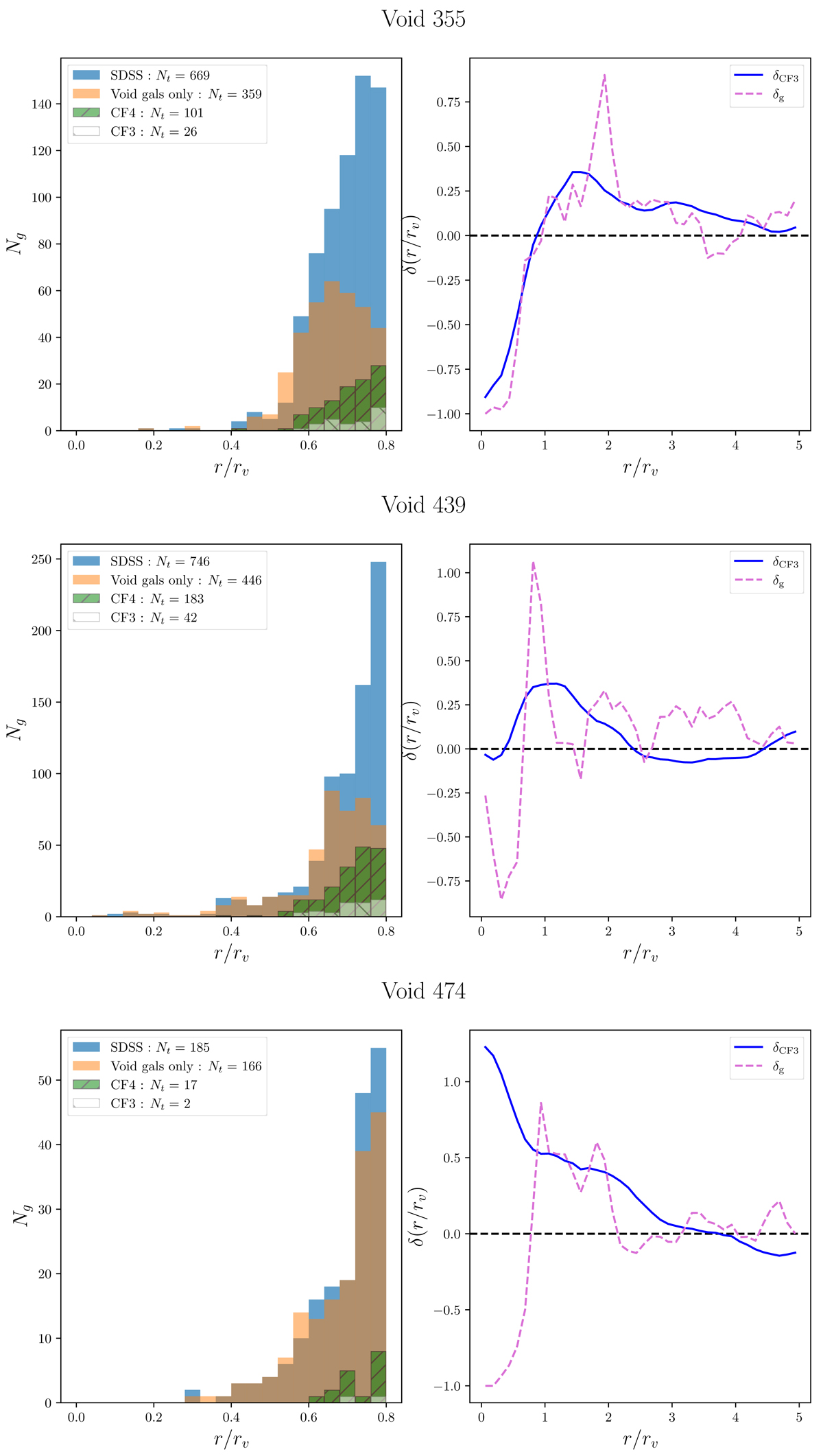
Fig. A.1.

image

Download original image

Void radial density profiles. For each of the seven SDSS/CAVITY nearby voids that are included in the CosmicFlows-3 volume, we show the radial number of galaxies in the left panel and the matter content in the right panel computed from CF3 (blue) and from the galaxy number density in SDSS (pink). All seven voids are empty of galaxies near their center and roughly up to their effective radius. However, four voids (474, 487, 727 and 738) display CF3-computed overdensities of matter in their center.

Current usage metrics show cumulative count of Article Views (full-text article views including HTML views, PDF and ePub downloads, according to the available data) and Abstracts Views on Vision4Press platform.

Data correspond to usage on the plateform after 2015. The current usage metrics is available 48-96 hours after online publication and is updated daily on week days.

Initial download of the metrics may take a while.