Open Access

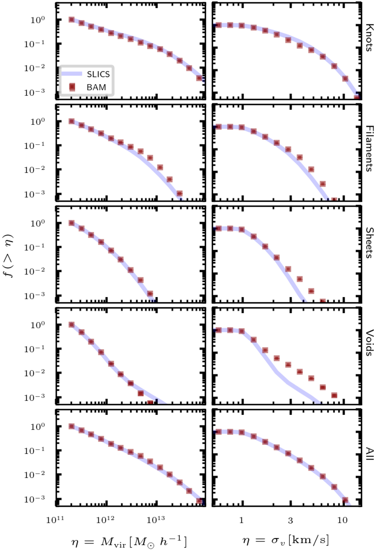
Fig. 13.

image

Download original image

Cumulative halo abundance as a function of virial mass Mvir (left column) and velocity dispersion σv (right column) obtained in different cosmic-web types (normalised to the number of halos in each cosmic-web type). Error bars indicate the mean and standard deviations computed from 80 realisations.

Current usage metrics show cumulative count of Article Views (full-text article views including HTML views, PDF and ePub downloads, according to the available data) and Abstracts Views on Vision4Press platform.

Data correspond to usage on the plateform after 2015. The current usage metrics is available 48-96 hours after online publication and is updated daily on week days.

Initial download of the metrics may take a while.