Open Access

Fig. 12

image

Download original image

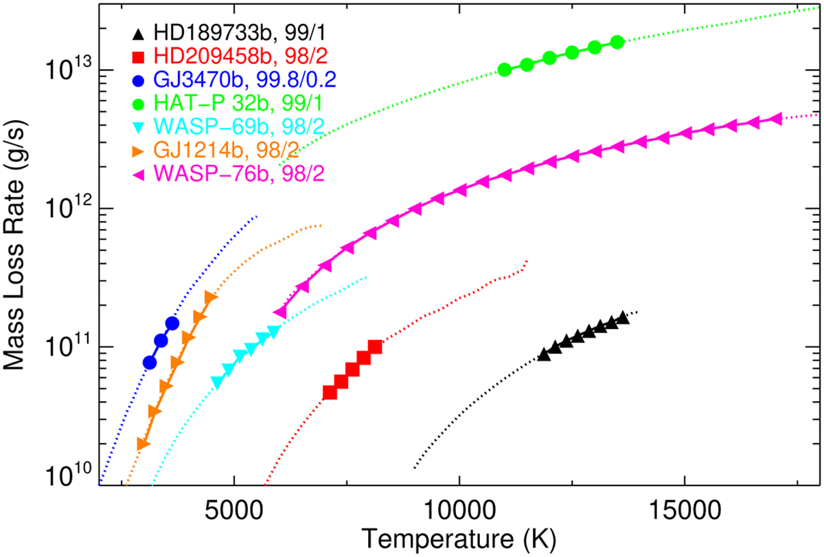
Ranges of temperature and mass-loss rates for HD 209458 b, HD 189733 b, GJ 3470 b, HAT-P-32 b, WASP-69 b, GJ 1214 b, and WASP-76 b for H/He ratios (as labelled). Dotted lines show the extended T–Ṁ ranges and thick lines the derived T–Ṁ ranges (see dotted lines and symbols, respectively, in Figs. 4 and 10). The values for HD 209458 b were taken from Lampón et al. (2020).

Current usage metrics show cumulative count of Article Views (full-text article views including HTML views, PDF and ePub downloads, according to the available data) and Abstracts Views on Vision4Press platform.

Data correspond to usage on the plateform after 2015. The current usage metrics is available 48-96 hours after online publication and is updated daily on week days.

Initial download of the metrics may take a while.