Open Access

Fig. A.1

image

Download original image

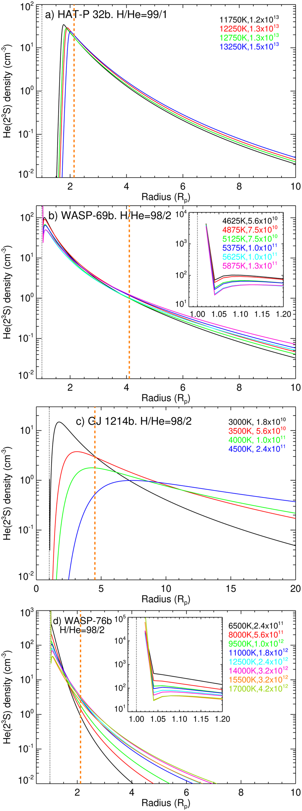
He(23S) concentration profiles that best fit the measured absorption (for the white symbols in Fig. 4). The scales of the x-axis are different. The vertical dashed orange lines indicate the mean Roche lobes. The insets in the right panels show zoomed-in images at low radii.

Current usage metrics show cumulative count of Article Views (full-text article views including HTML views, PDF and ePub downloads, according to the available data) and Abstracts Views on Vision4Press platform.

Data correspond to usage on the plateform after 2015. The current usage metrics is available 48-96 hours after online publication and is updated daily on week days.

Initial download of the metrics may take a while.