Open Access

Fig. 10.

image

Download original image

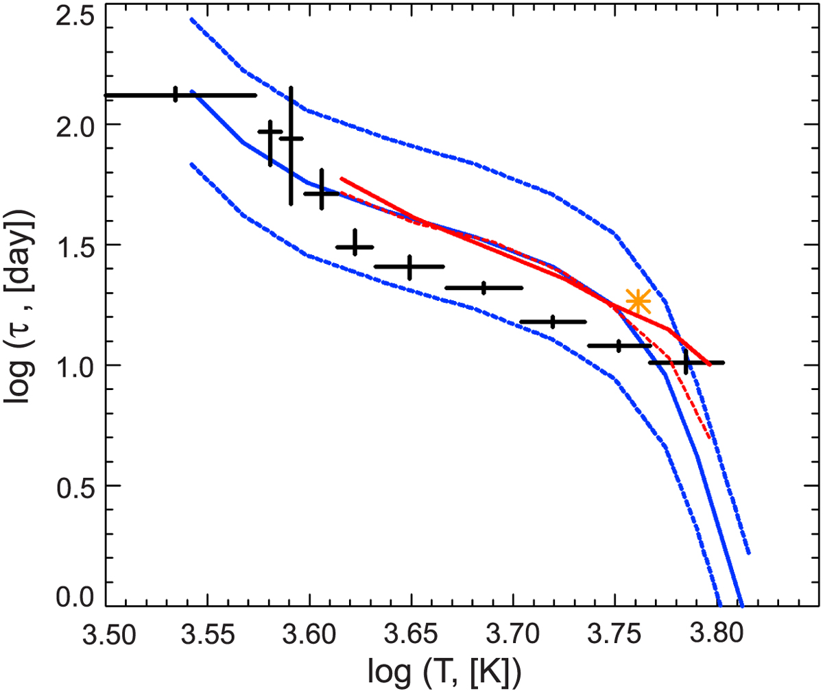
Stellar convection turnover time τ versus the log of the stellar effective temperature, T, according to the empiric estimates in Wright et al. (2011) (black error bar crosses), as well as the numeric models of the main sequence stars in Landin et al. (2010) (red dashed line) and Amard et al. (2019) (red solid line). The yellow asterisk indicates an average estimate of τ for the Sun, based on different sources (see, e.g., Table 2 in Arkhypov et al. 2013). The blue lines depict the range of periods, , of the tachocline Alfvén waves with the wavelengths Λ equal to the diameter of the stellar laminar convection cell for the magnetic field: B = 50 kG (solid), B = 25 kG (dashed, upper), and B = 100 kG (dashed, bottom).

Current usage metrics show cumulative count of Article Views (full-text article views including HTML views, PDF and ePub downloads, according to the available data) and Abstracts Views on Vision4Press platform.

Data correspond to usage on the plateform after 2015. The current usage metrics is available 48-96 hours after online publication and is updated daily on week days.

Initial download of the metrics may take a while.