Open Access

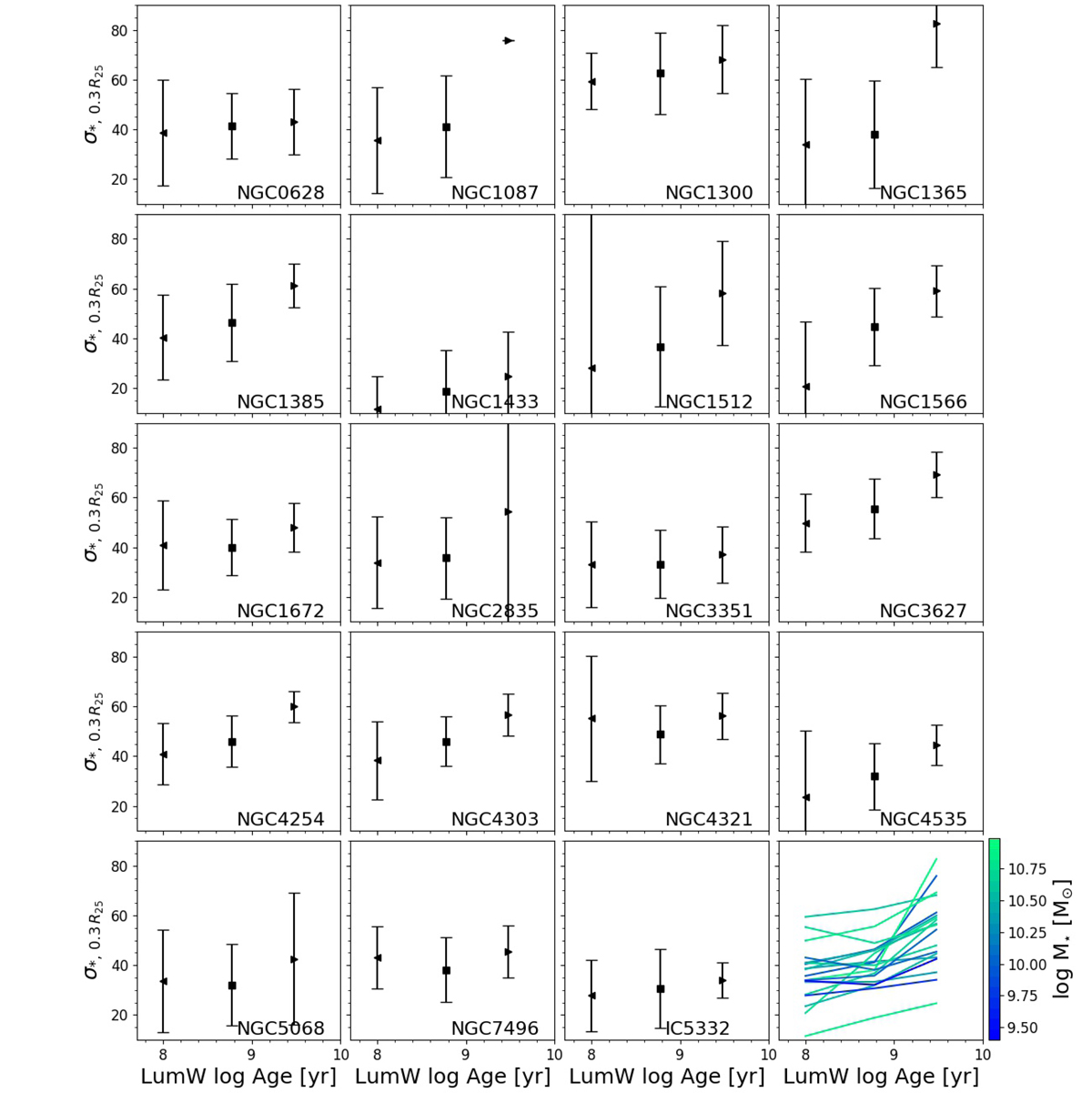
Fig. 19.

image

Download original image

Mean stellar velocity dispersion (σ*) measured at a galactocentric radius of 0.25−0.30 R25 in the disk environment of all our sample galaxies for stellar populations with luminosity-weighted ages within the three different age bins defined in the main text. We note that for visualization purposes, the x-axis position of each data point is located at the edge of the age bin it represents. In each panel, the leftmost triangle represents the mean (area-weighted) velocity dispersion of all populations younger than 100 Myr. The central square marks the mean velocity dispersion of populations with 100 Myr < LumW age < 300 Myr, and the rightmost triangle shows the same quantity for populations older than 3 Gyr. The errorbar indicates the standard deviation of the σ* values of the pixels within a given age bin. The bottom right panel shows the trend for all galaxies, colored by total stellar mass.

Current usage metrics show cumulative count of Article Views (full-text article views including HTML views, PDF and ePub downloads, according to the available data) and Abstracts Views on Vision4Press platform.

Data correspond to usage on the plateform after 2015. The current usage metrics is available 48-96 hours after online publication and is updated daily on week days.

Initial download of the metrics may take a while.