Open Access

Fig. C.2.

image

Download original image

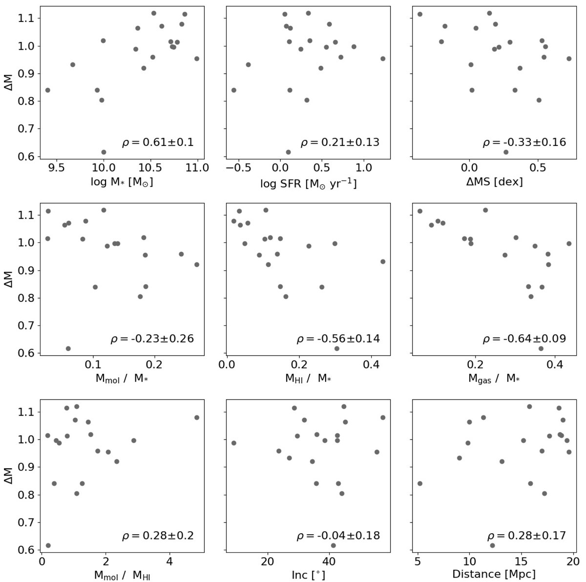
Slope of the SFH of PHANGS galaxies, as a function of (from left to right, and from top to bottom) total stellar mass (log M*), total SFR (log SFR), offset from the global main sequence of galaxies (ΔMS), total molecular gas mass-to-stellar mass ratio (Mmol/M*), total atomic gas mass-to-stellar mass ratio (MHI), total gas (molecular + atomic)-to-stellar mass ratio Mgas/M*, and molecular-to-atomic gas mass ratio (Mmol/MHI), galaxy inclination and distance. The Pearson correlation coefficient for each parameter is indicated in the bottom-right corner of each panel.

Current usage metrics show cumulative count of Article Views (full-text article views including HTML views, PDF and ePub downloads, according to the available data) and Abstracts Views on Vision4Press platform.

Data correspond to usage on the plateform after 2015. The current usage metrics is available 48-96 hours after online publication and is updated daily on week days.

Initial download of the metrics may take a while.