Open Access

Fig. E.7.

image

Download original image

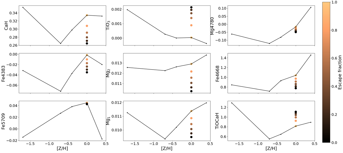
Set of line-strength indices commonly used as stellar metallicity tracers, measured for the SED of a 1 Myr SSP model from the CB07 library, for the full range of metallicity values available. For solar metallicity, we show the measurement for different levels of nebular continuum contribution. It is clear that a stronger nebular continuum contribution (lower escape fraction) yields a line-strength index measurement consistent with lower metallicities (with TiOCaH being the only exception, bottom right panel). Also, we note that the most metal-poor metallicity bin often appears as a strong outlier in the line-strength-[Z/H] relation.

Current usage metrics show cumulative count of Article Views (full-text article views including HTML views, PDF and ePub downloads, according to the available data) and Abstracts Views on Vision4Press platform.

Data correspond to usage on the plateform after 2015. The current usage metrics is available 48-96 hours after online publication and is updated daily on week days.

Initial download of the metrics may take a while.