Open Access

Fig. 2.

image

Download original image

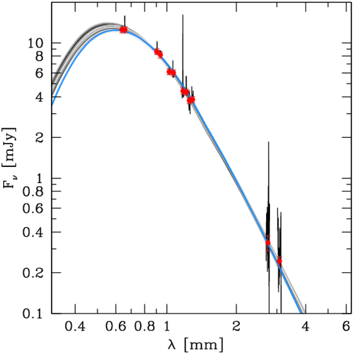
Observed dust spectral energy distribution in PJ183+05. We plot the observed spectra and best-fit continuum flux density estimates from the spectral analysis as black lines and red points with error bars, respectively. The best-fit model is shown in blue, while a random subset of the models within the 1-σ confidence level are shown in gray for reference. The broad range of frequencies sampled in our study allows us to precisely pin down the dust temperature in this source.

Current usage metrics show cumulative count of Article Views (full-text article views including HTML views, PDF and ePub downloads, according to the available data) and Abstracts Views on Vision4Press platform.

Data correspond to usage on the plateform after 2015. The current usage metrics is available 48-96 hours after online publication and is updated daily on week days.

Initial download of the metrics may take a while.