Open Access

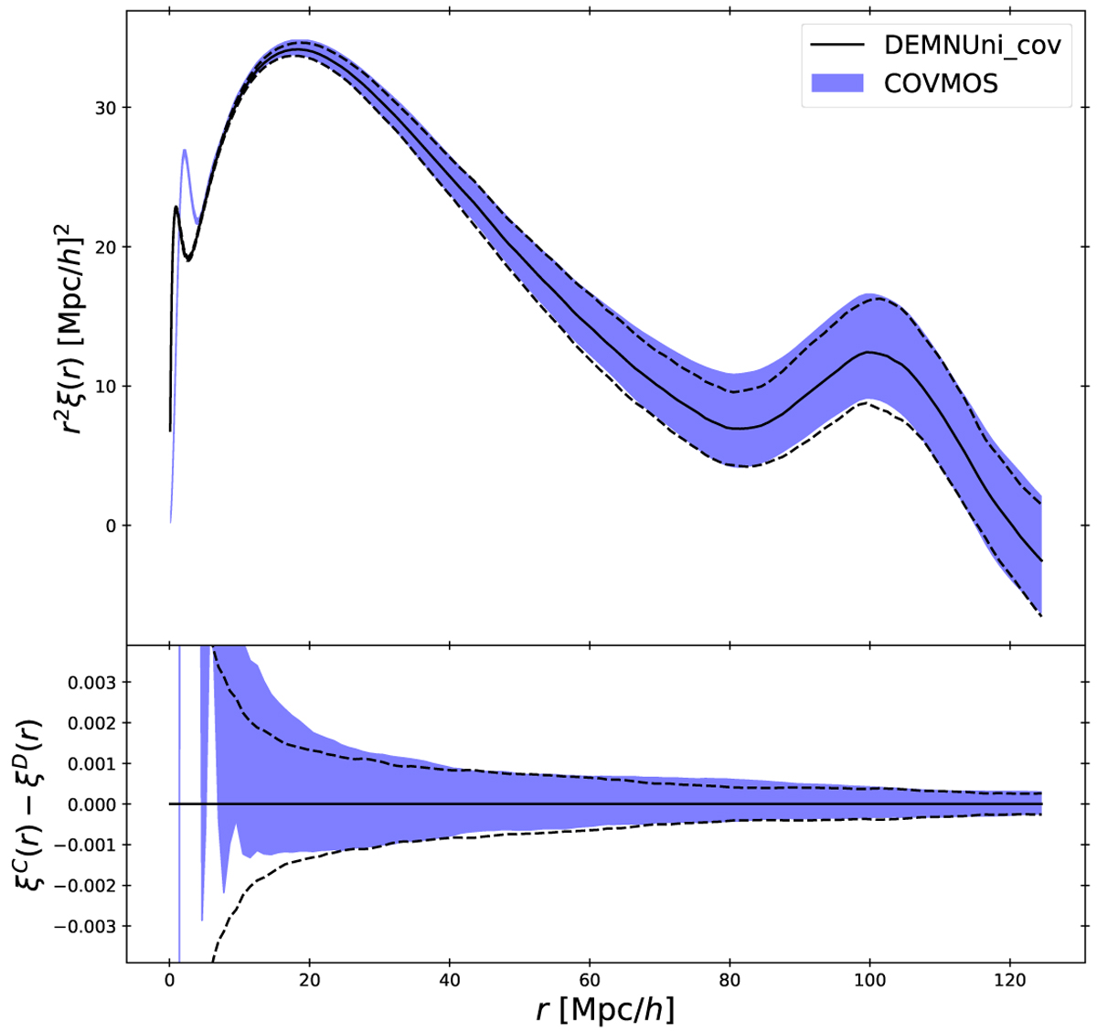
Fig. 3.

image

Download original image

Real-space two-point correlation function comparison between the COVMOS and the DEMNUni_cov experiments. Top: estimated and averaged correlation function monopoles over 100 realisations of COVMOS catalogues in 16nu cosmology at z = 0, with dispersion on each realisation represented in blue. The solid black line represents the averaged power spectra (with dispersion over measurements in dashed black lines) over 50 DEMNUni_cov simulations. Bottom: residual between the COVMOS and DEMNUni_cov outputs, with error bars.

Current usage metrics show cumulative count of Article Views (full-text article views including HTML views, PDF and ePub downloads, according to the available data) and Abstracts Views on Vision4Press platform.

Data correspond to usage on the plateform after 2015. The current usage metrics is available 48-96 hours after online publication and is updated daily on week days.

Initial download of the metrics may take a while.