Open Access

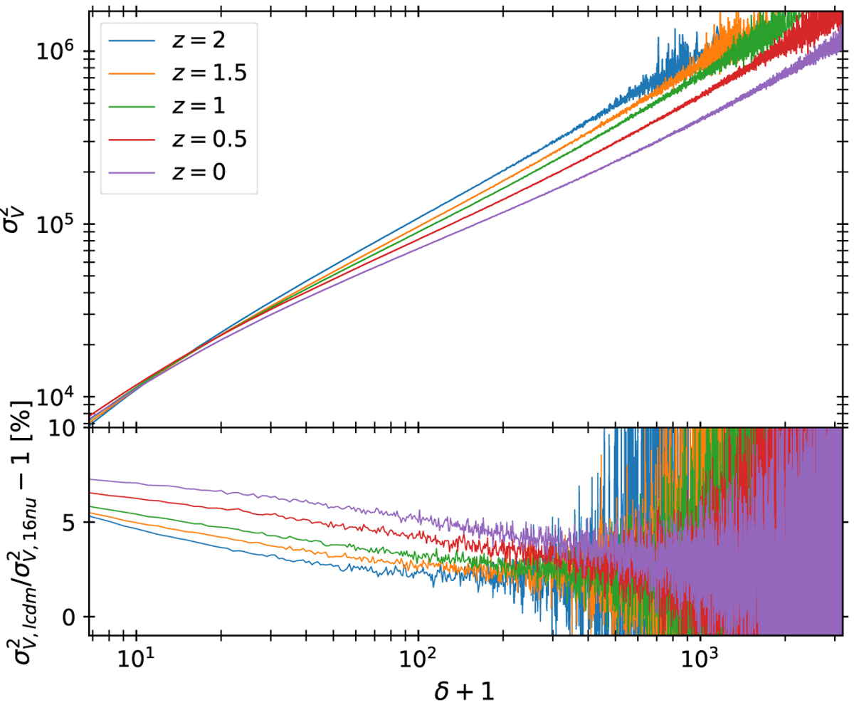
Fig. 4.

image

Download original image

Velocity variance as a function of the local density estimated on the DEMNUni_cov simulations. Top: combined velocity components variance in (km/s)2 as a function of local density contrast for the DEMNUni_cov set of 50 simulations and for the five redshifts z = [0, 0.5, 1, 1.5, 2] in the case of the standard ΛCDM cosmology. Bottom: percent relative deviation, redshift per redshift, between the two cosmologies, ΛCDM and 16nu, still using the same colour-code.

Current usage metrics show cumulative count of Article Views (full-text article views including HTML views, PDF and ePub downloads, according to the available data) and Abstracts Views on Vision4Press platform.

Data correspond to usage on the plateform after 2015. The current usage metrics is available 48-96 hours after online publication and is updated daily on week days.

Initial download of the metrics may take a while.