Open Access

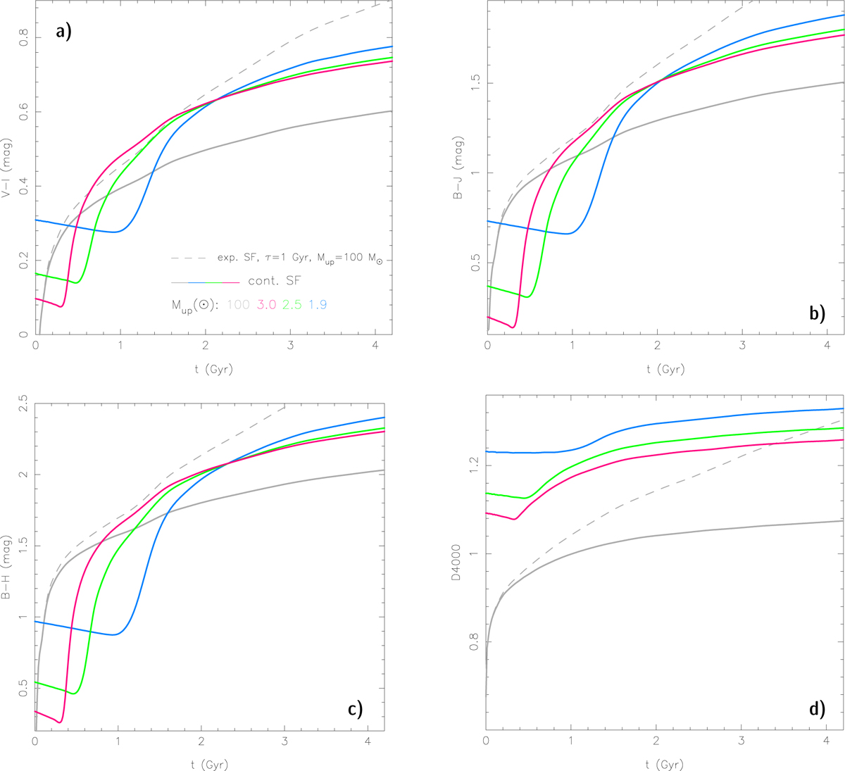
Fig. 13.

image

Download original image

Time evolution of the V − I, B − J, and B − H color and the D4000 index for a stellar population of Z/5 forming at a constant SFR, according to a Salpeter IMF that is truncated above Mup = 3, 2.5 and 1.9 M (red, green and blue, respectively), corresponding to a migration timescale τm of SF clumps from the disk of, respectively, 0.64, 1 and 2 Gyr. Predictions for a fully populated (0.1−100 M) Salpeter IMF for a constant and exponentially decreasing (τ1) SFR are shown with the gray solid and dashed curve, respectively.

Current usage metrics show cumulative count of Article Views (full-text article views including HTML views, PDF and ePub downloads, according to the available data) and Abstracts Views on Vision4Press platform.

Data correspond to usage on the plateform after 2015. The current usage metrics is available 48-96 hours after online publication and is updated daily on week days.

Initial download of the metrics may take a while.