Open Access

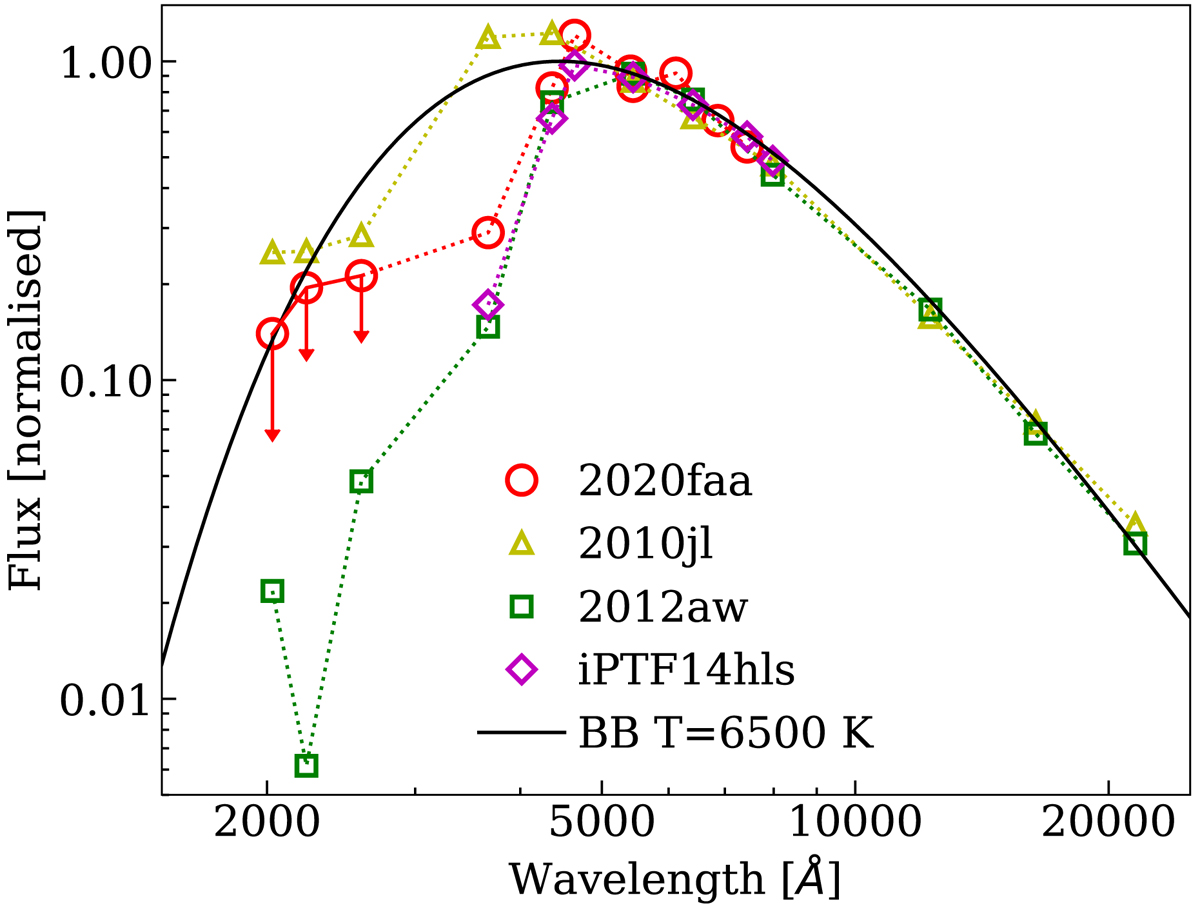
Fig. 2.

image

Download original image

SED of SNe 2020faa (red circles), 2010jl (yellow triangles), 2012aw (green squares), and iPTF14hls (magenta diamonds) compared to a black body with temperature T = 6500 K (solid line).

Current usage metrics show cumulative count of Article Views (full-text article views including HTML views, PDF and ePub downloads, according to the available data) and Abstracts Views on Vision4Press platform.

Data correspond to usage on the plateform after 2015. The current usage metrics is available 48-96 hours after online publication and is updated daily on week days.

Initial download of the metrics may take a while.