Open Access

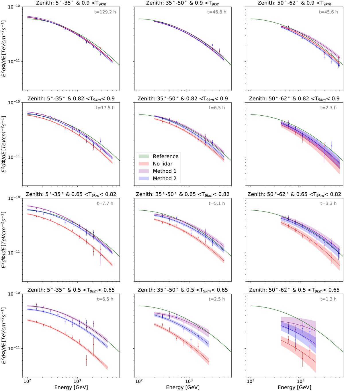
Fig. 15

image

Download original image

Period-averaged SEDs and corresponding flux points for nine different zenith angle and atmospheric transmission bins without (red) and with either type (purple and blue) of LIDAR corrections. The reference spectrum is given in green. The effective time of the data used for the individual spectra is displayed in the top-right corner of each subplot.

Current usage metrics show cumulative count of Article Views (full-text article views including HTML views, PDF and ePub downloads, according to the available data) and Abstracts Views on Vision4Press platform.

Data correspond to usage on the plateform after 2015. The current usage metrics is available 48-96 hours after online publication and is updated daily on week days.

Initial download of the metrics may take a while.