Open Access

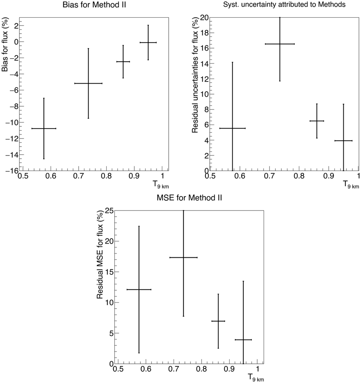
Fig. 19

image

Download original image

Residual flux reconstruction bias after corrections with Method II. Excess uncertainties are attributed to the method (i.e., after quadratically subtracting the second from the fifth column in Table 4) and the mean squared error, as a function of aerosol transmission at 9 km above ground.

Current usage metrics show cumulative count of Article Views (full-text article views including HTML views, PDF and ePub downloads, according to the available data) and Abstracts Views on Vision4Press platform.

Data correspond to usage on the plateform after 2015. The current usage metrics is available 48-96 hours after online publication and is updated daily on week days.

Initial download of the metrics may take a while.