Open Access

Fig. A.2.

image

Download original image

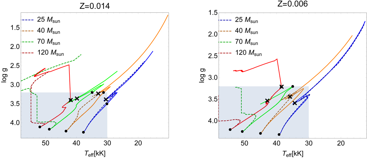
Self-consistent evolution tracks (solid lines), compared with classical evolutionary tracks (darker dashed lines) from Ekström et al. (2012, Z = 0.014) and Eggenberger et al. (2021, Z = 0.006), across the plane (Teff, log g). The shadowed region constrains the validity range for the m-CAK prescription, as defined in Section 2.

Current usage metrics show cumulative count of Article Views (full-text article views including HTML views, PDF and ePub downloads, according to the available data) and Abstracts Views on Vision4Press platform.

Data correspond to usage on the plateform after 2015. The current usage metrics is available 48-96 hours after online publication and is updated daily on week days.

Initial download of the metrics may take a while.