Open Access

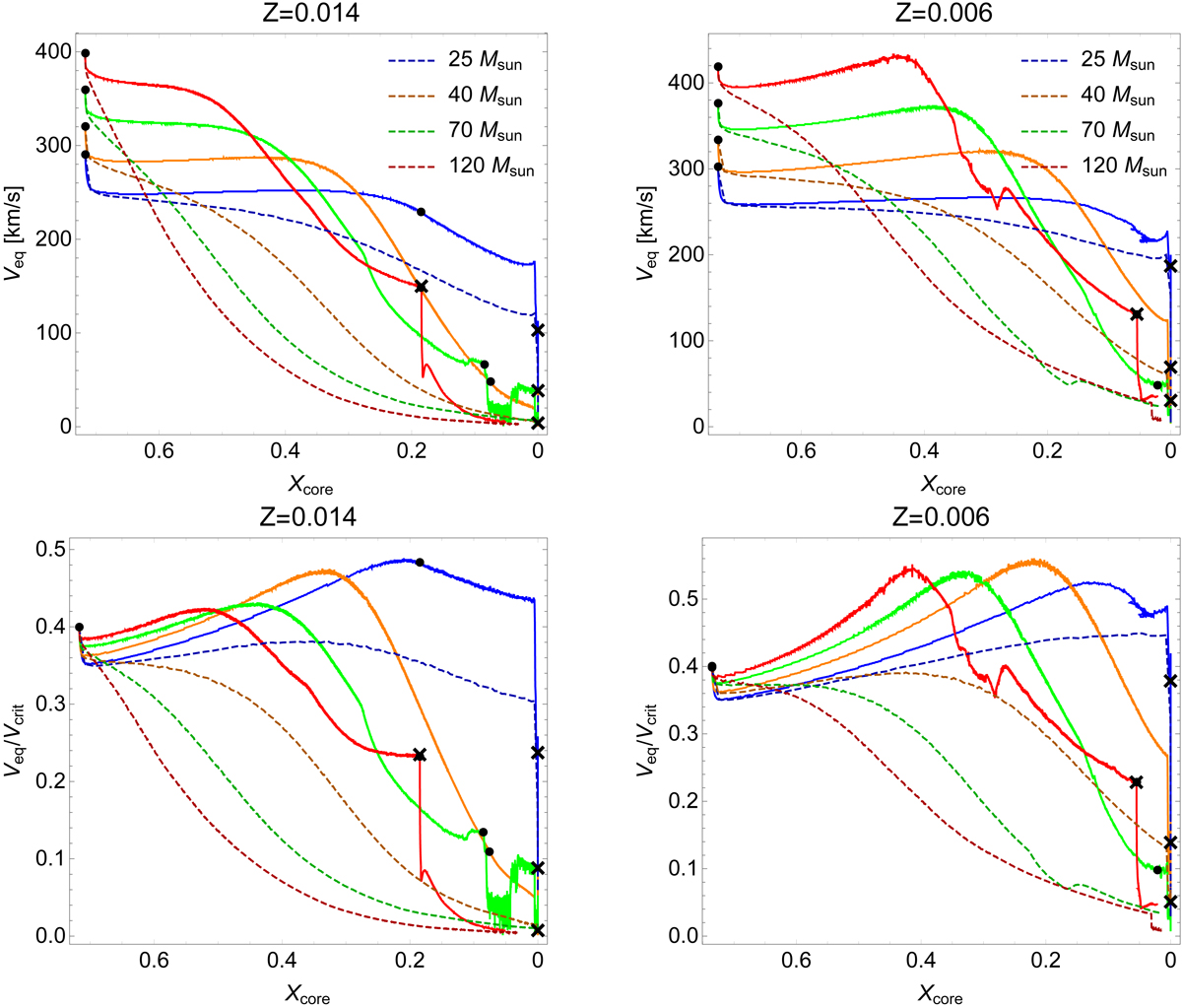
Fig. 4.

image

Download original image

Evolution of surface equatorial velocities and rotation parameter Ω as a function of the mass fraction of hydrogen at the core, which decreases from Xcore ∼ 0.72 at ZAMS to Xcore ∼ 0.05 at the end of the H-core burning stage. The symbols (dots and crosses) have the same meanings as indicated in the caption of Fig. 3.

Current usage metrics show cumulative count of Article Views (full-text article views including HTML views, PDF and ePub downloads, according to the available data) and Abstracts Views on Vision4Press platform.

Data correspond to usage on the plateform after 2015. The current usage metrics is available 48-96 hours after online publication and is updated daily on week days.

Initial download of the metrics may take a while.