Open Access

Fig. 11.

image

Download original image

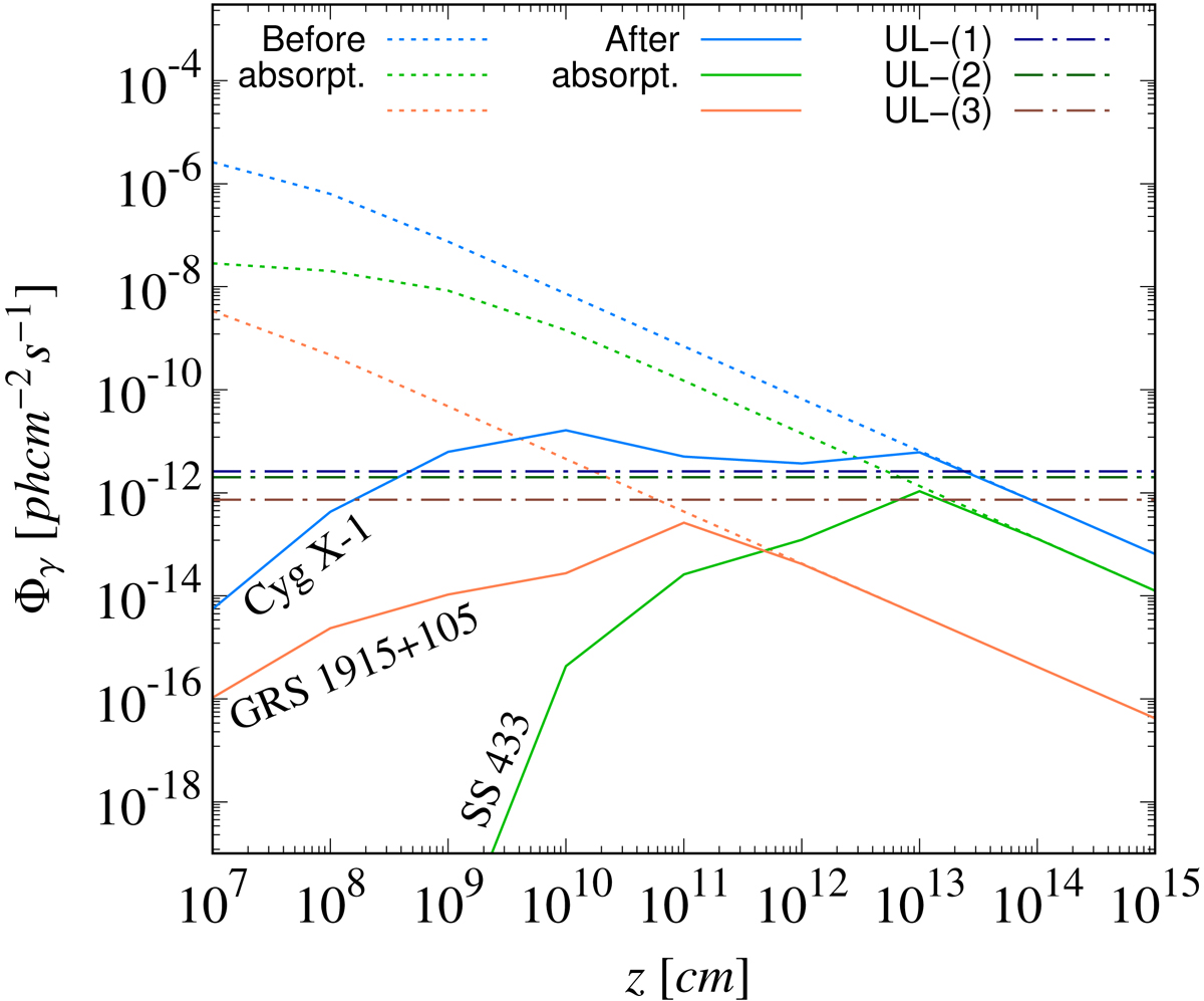
Gamma-ray integral fluxes for various distances z for binary systems Cygnus X-1, SS 433, and GRS 1915+105. The dashed lines correspond to emissions not affected by absorption from the system’s surroundings. In contrast, the solid lines represent the gamma-ray fluxes after absorption from the accretion disk, corona, and donor star. The fluxes are integrated for Eγ ≥ 102 GeV. The upper limits among the three systems are also demonstrated as: (1) Cygnus X-1, Ahnen et al. (2017), (2) SS 433, Ahnen et al. (2018), (3) GRS 1915+105, Abdalla et al. (2018).

Current usage metrics show cumulative count of Article Views (full-text article views including HTML views, PDF and ePub downloads, according to the available data) and Abstracts Views on Vision4Press platform.

Data correspond to usage on the plateform after 2015. The current usage metrics is available 48-96 hours after online publication and is updated daily on week days.

Initial download of the metrics may take a while.