Open Access

Fig. 3.

image

Download original image

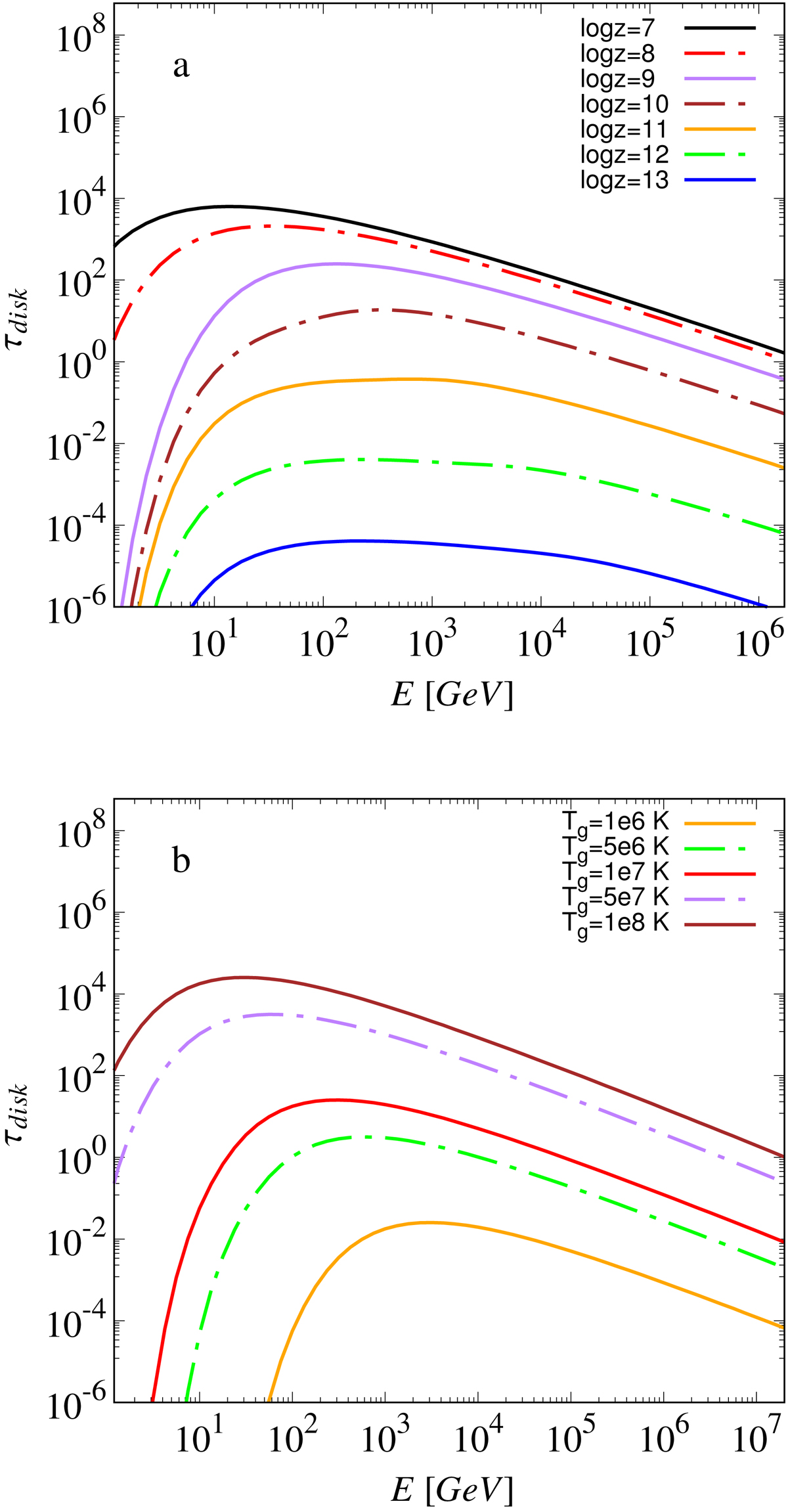
Optical depth for disk absorption in the binary system Cygnus X-1 as a function of gamma-ray photon energy: (a) for different values of z and (b) for different values of inner disk temperature when z = 5 RSch/tanξ ≈ 109 cm.

Current usage metrics show cumulative count of Article Views (full-text article views including HTML views, PDF and ePub downloads, according to the available data) and Abstracts Views on Vision4Press platform.

Data correspond to usage on the plateform after 2015. The current usage metrics is available 48-96 hours after online publication and is updated daily on week days.

Initial download of the metrics may take a while.