Open Access

Fig. 8.

image

Download original image

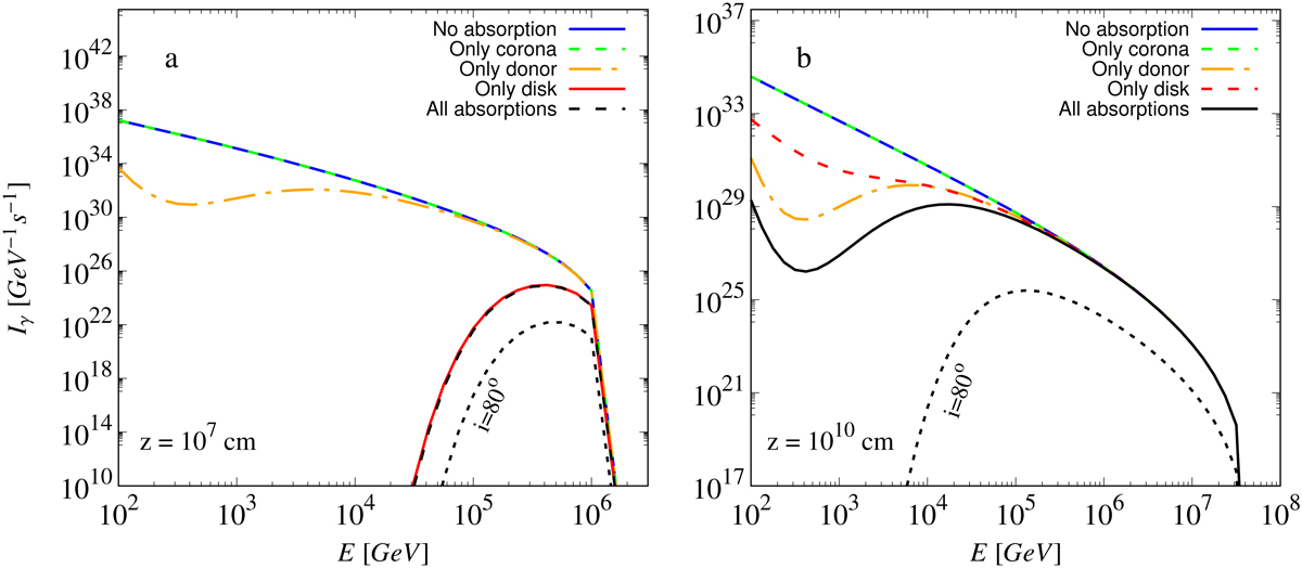
Gamma-ray intensity emitted by Cygnus X-1 as a function of photon energy for (a) z = 107 cm and (b) z = 1010 cm. The solid line (blue) corresponds to the obtained intensity by ignoring all types of absorption, while the dashed line refers to an intensity affected only by corona absorption. The dash-dotted line (orange) represents gamma-ray intensity exposed only to the donor star’s radiation. A red solid (or dashed) line demonstrates intensity post-absorption from the accretion disk. Finally, gamma-ray intensity, including all the discussed absorption mechanisms, is represented by the black dashed (or solid) line.

Current usage metrics show cumulative count of Article Views (full-text article views including HTML views, PDF and ePub downloads, according to the available data) and Abstracts Views on Vision4Press platform.

Data correspond to usage on the plateform after 2015. The current usage metrics is available 48-96 hours after online publication and is updated daily on week days.

Initial download of the metrics may take a while.