Open Access

Fig. 3.

image

Download original image

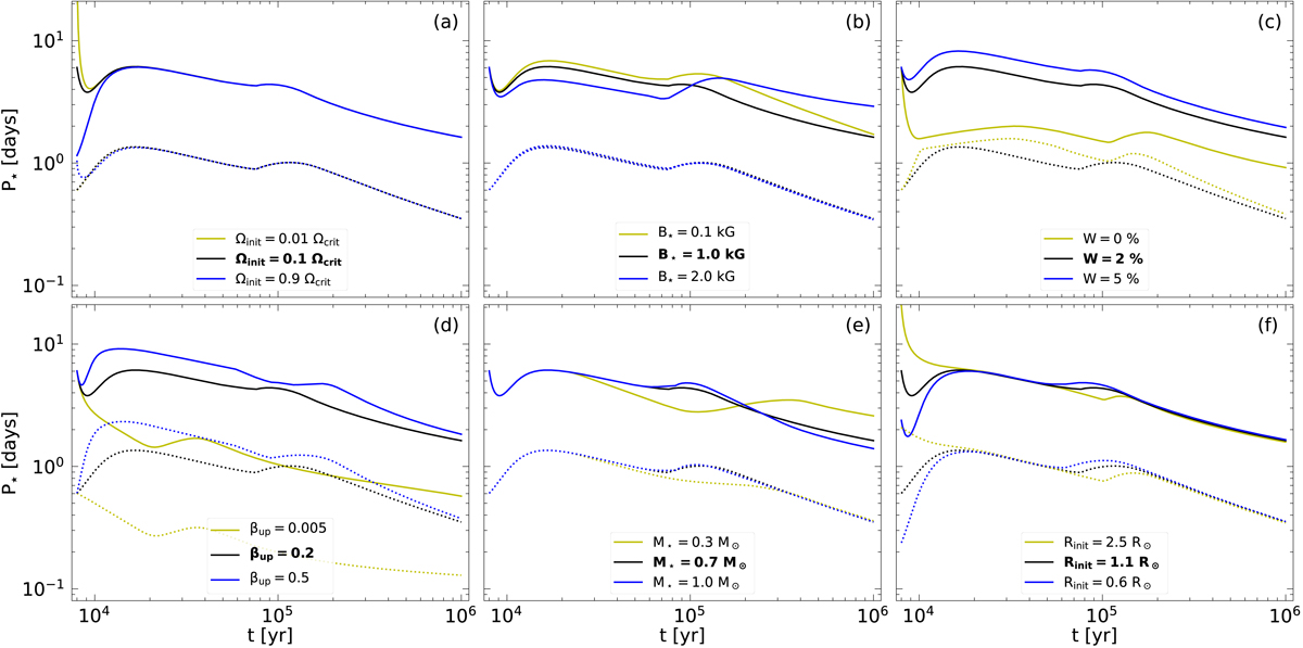
Evolution of the stellar rotation period P for each parameter variation: initial rotation rate Ωinit (panel a), stellar magnetic field strength B (panel b), APSW efficiency W (panel c), amount of energy of the infalling material added into the star βup (panel d), the final stellar mass at 1 Myr M (panel e), and the initial stellar radius Rinit (panel f). The reference values are in boldface. For comparison, the critical rotation period is shown for each evolution as dotted lines.

Current usage metrics show cumulative count of Article Views (full-text article views including HTML views, PDF and ePub downloads, according to the available data) and Abstracts Views on Vision4Press platform.

Data correspond to usage on the plateform after 2015. The current usage metrics is available 48-96 hours after online publication and is updated daily on week days.

Initial download of the metrics may take a while.